Figure 4
From: Circulatory miR-223-3p Discriminates Between Parkinson’s and Alzheimer’s Patients

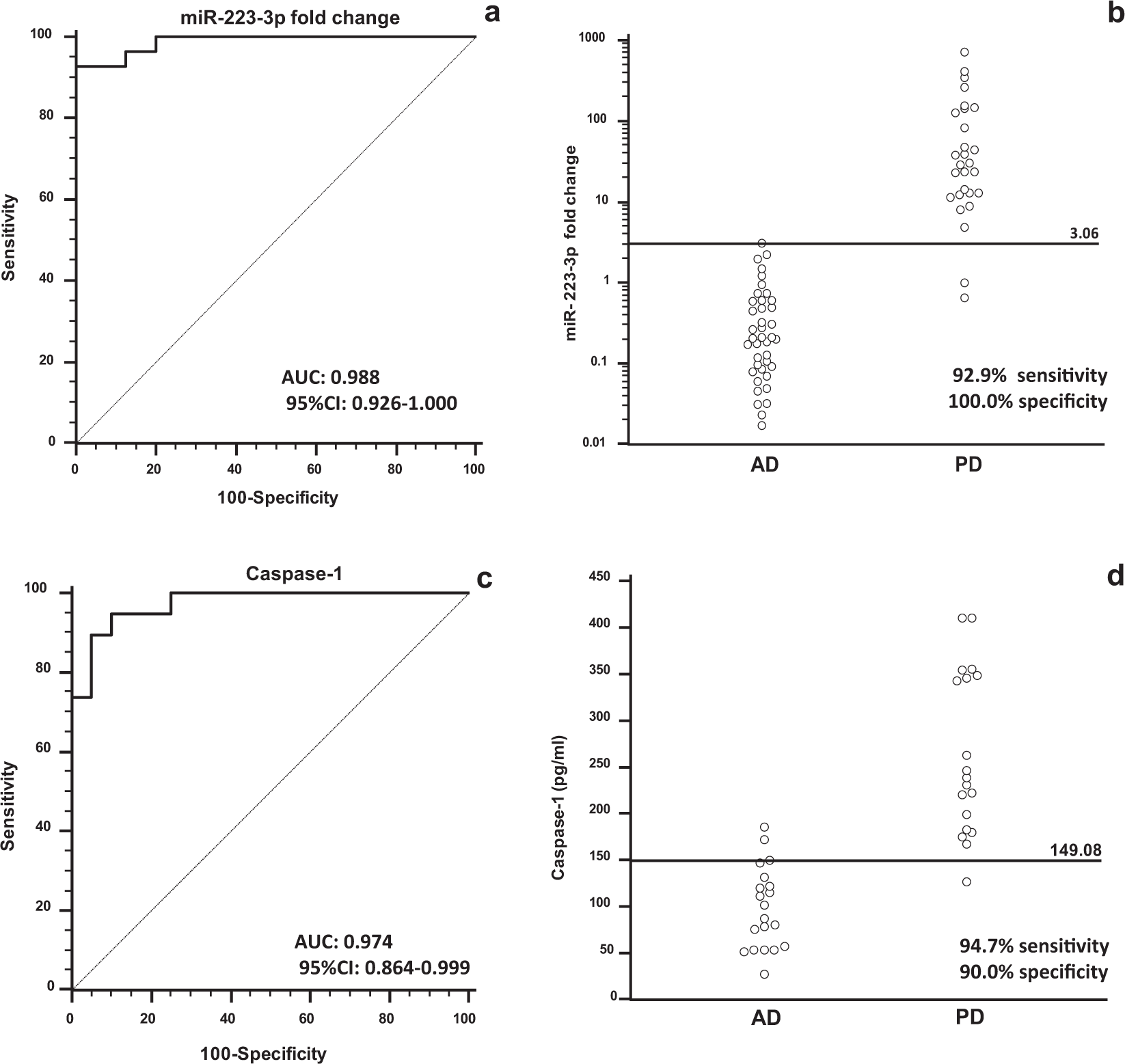
ROC analysis: Receiver Operating Characteristic (ROC) curve analysis (panel a,c) and dot diagram (panel b,d) showing discriminative power of miR-223-3p fold change (panel a,b) or caspase-1 (panel c,d) in serum between Alzheimer’s Disease (AD) and Parkinson disease (PD) patients.