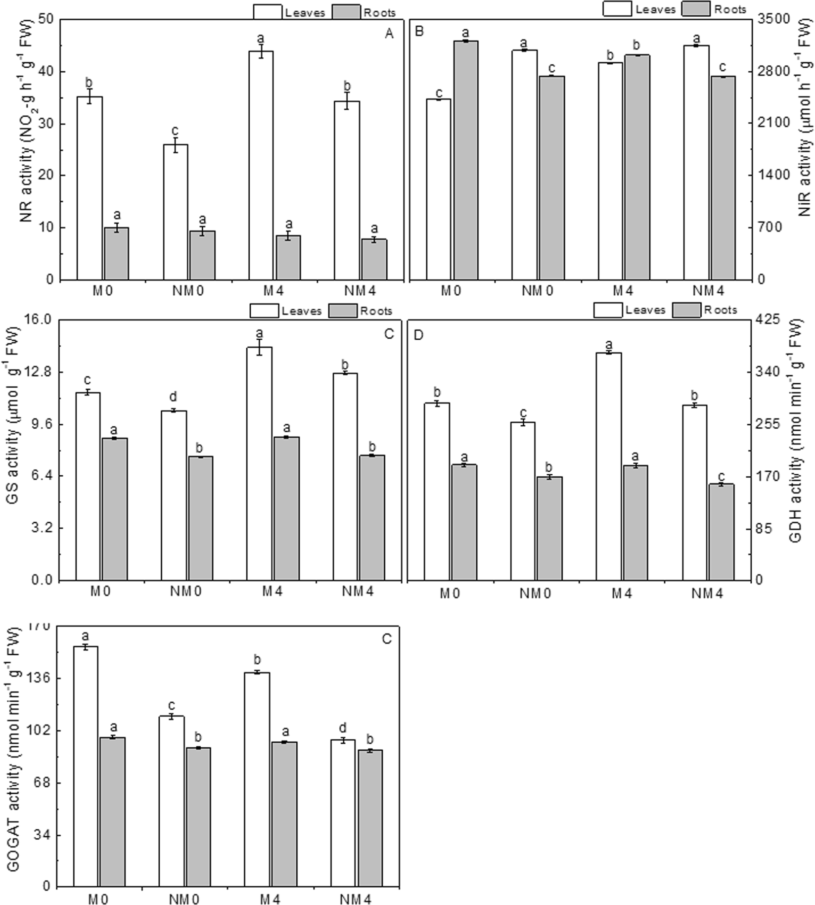
Figure 4

Activity of nitrate reductase (NR, NO2-µg hr−1 g−1 FW; A), nitrite reductase (NiR, μmol h−1 g−1 FW; B), glutamine synthase (GS, μmol g−1 FW; C), glutamate dehydrogenase (GDH, nmol·min−1·g−1 FW; D) and glutamate synthase (GOGAT, nmol·min−1·g−1 FW; E) in tender leaves and fine roots after 30 days of irrigation with magnetized and non-magnetized brackish water. The values are the means of three replicates ± SEs. Different lowercase letters show significant differences between means in the same row at the 0.05 probability level.