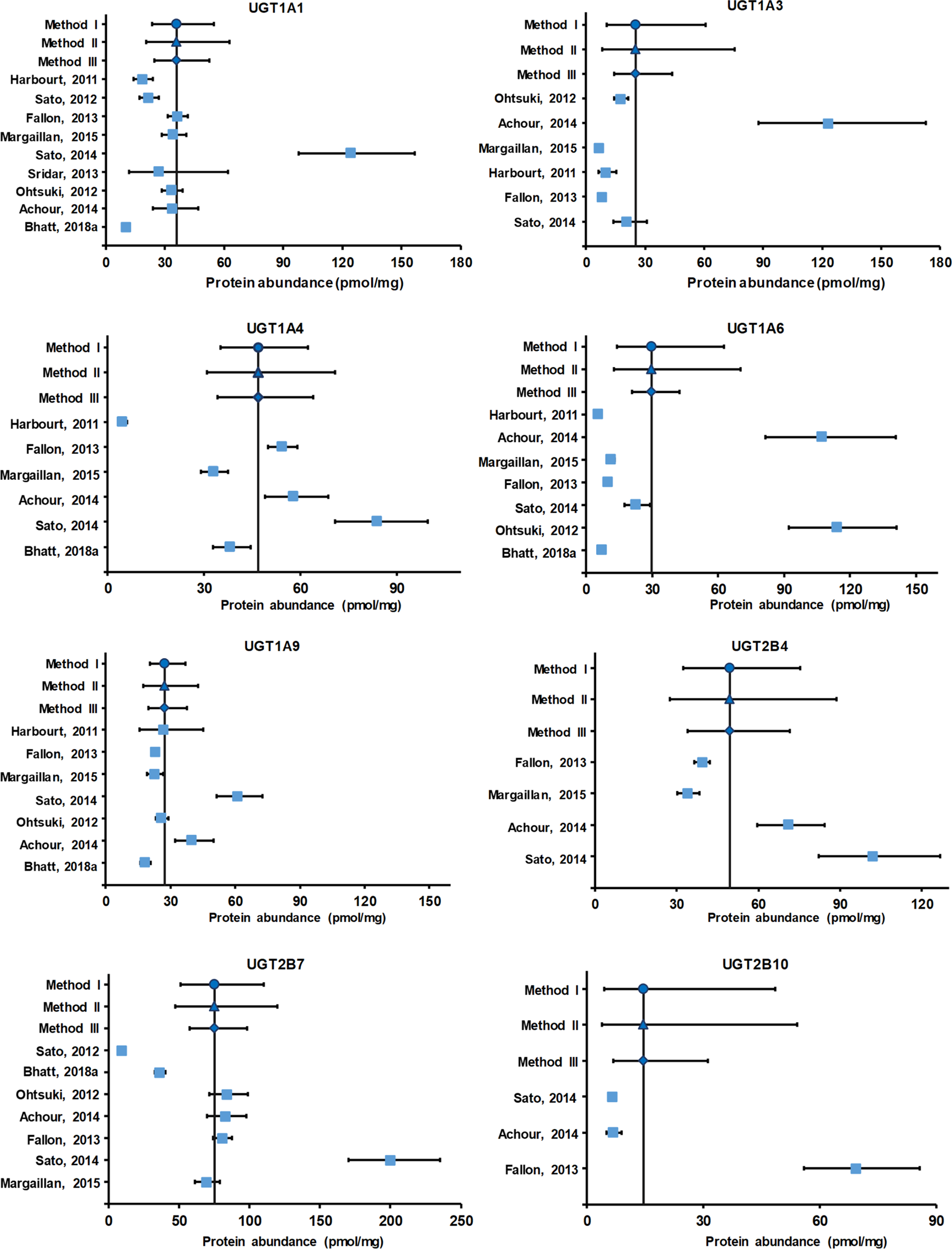
Figure 2

Forest plots representing hepatic protein abundance of UGT1A1, UGT1A3, UGT1A4, UGT1A6, UGT1A9, UGT2B4, UGT2B7 and UGT2B10. X-axis denotes protein abundance of enzyme in pmol/mg microsomal protein. Y-axis represents methods I-III and individual studies (first author name, year). Mean protein abundance value for the method I, method II, method III and individual studies are presented as filled circle, filled triangle, filled diamond and filled squares, respectively. The line perpendicular to X-axis denotes weighted mean, whereas lines parallel to X-axis denote 95% CI.