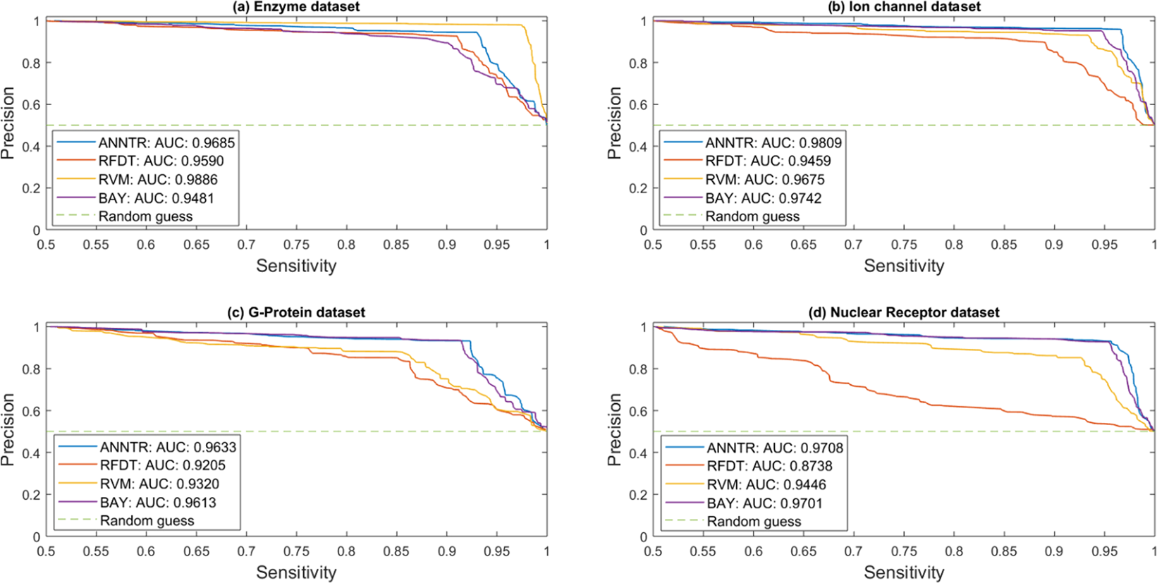
Figure 7
From: Trader as a new optimization algorithm predicts drug-target interactions efficiently

The PR curve of the methods on the gold-standard datasets. (a) The PR curves of the algorithms on the enzyme dataset. (b) The PR curves of the algorithms on the ion channel dataset. (c) The PR curves of the algorithms on the G-protein dataset. (d) The PR curves of the algorithms on the nuclear receptor dataset. The size of the positive and negative datasets is the same. The PR curves show the proper performance of the proposed method relative to the others. The average value of Trader’s AUS is also higher than them. ANNTR: Trader-based Artificial Neural network; RFDT: Rotation Forest-based Drug-Target predictor; RVM: Relevance Vector Machine; BAY: Bayesian ranking-based.