Figure 6
From: Absorbing phase transition in the coupled dynamics of node and link states in random networks

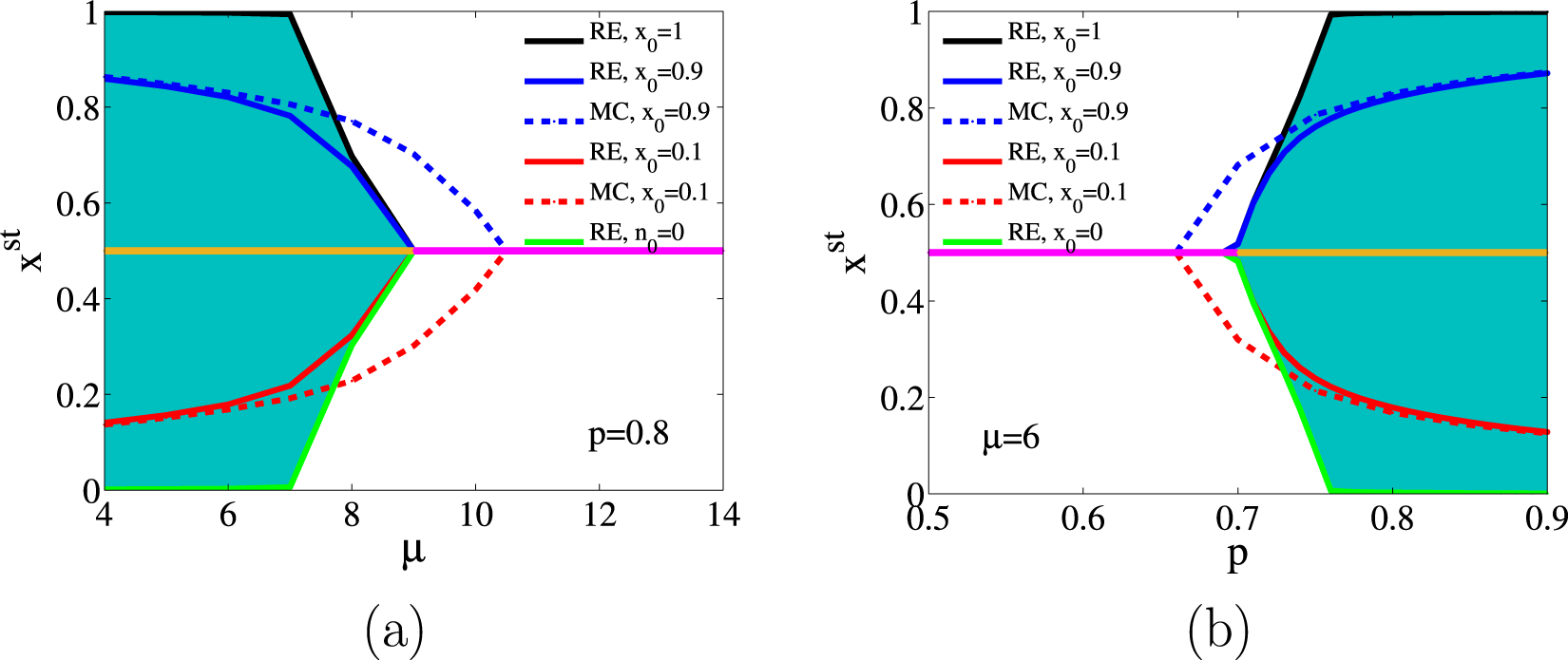
We plot the dependence of xst on the initial condition in the frozen phase both for fixed \(p=0.8\), panel (a) and fixed \(\mu =6\), panel (b). The solid curves are the result of a numerical integration of the rate equations (RE). In the frozen phase, the spread of xst, due to varying \({\ell }_{0}\) from 0 to 1, for given x0 are spanned between the xf (curves) and x = 1/2 (beige line). The colored area is the region between the largest and smallest possible value of xf for which we used the condition \({\ell }_{0}={\ell }_{1}=1-{\ell }_{2}\) (see initial condition in section method). In active phase, \(p < {p}_{c}(\mu )\), for any initial condition, \({x}^{{\rm{st}}}=1\)/2 (pink line). Finally, for comparison, xf obtained from Monte Carlo (MC) for \({x}_{0}=0.1,0.9\) are depicted by a dashed line.