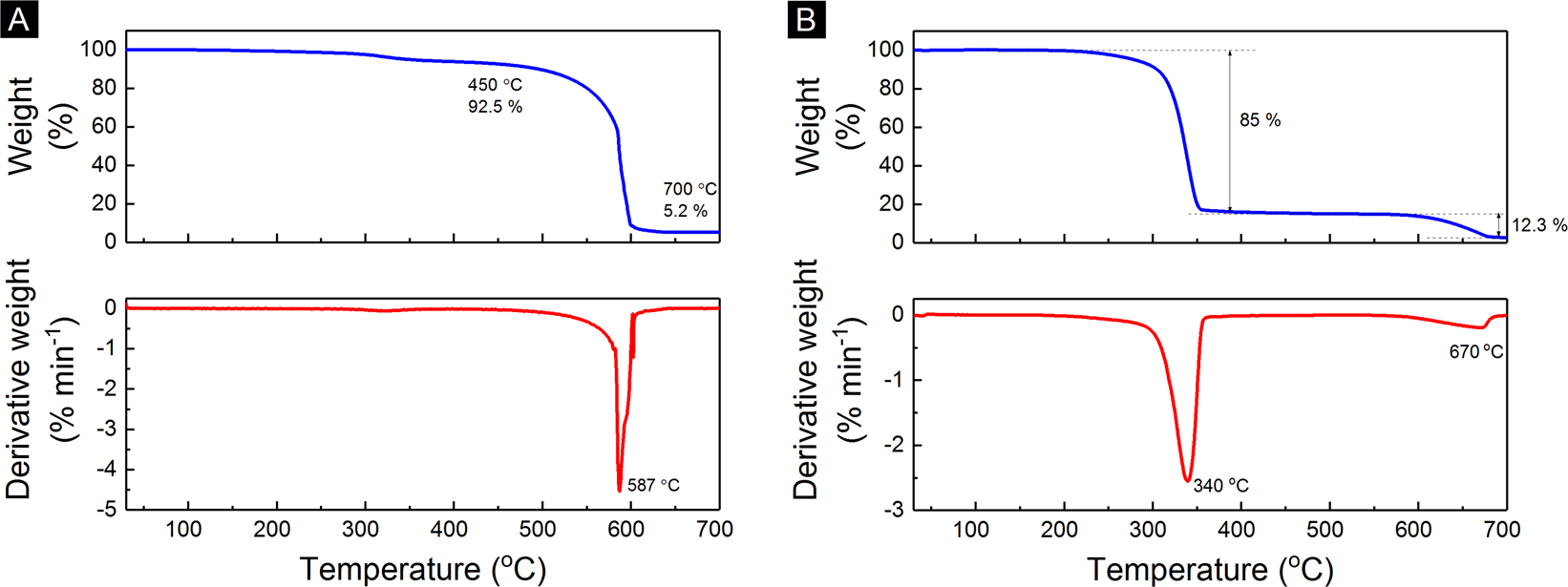
Figure 3

(A) Thermal gravimetric analysis (TGA) curve of MWCNT (C1) and its first derivative weight. (B) TGA curve of PVDF-MWCNT (P2-C1) filament and its first derivative weight.

(A) Thermal gravimetric analysis (TGA) curve of MWCNT (C1) and its first derivative weight. (B) TGA curve of PVDF-MWCNT (P2-C1) filament and its first derivative weight.