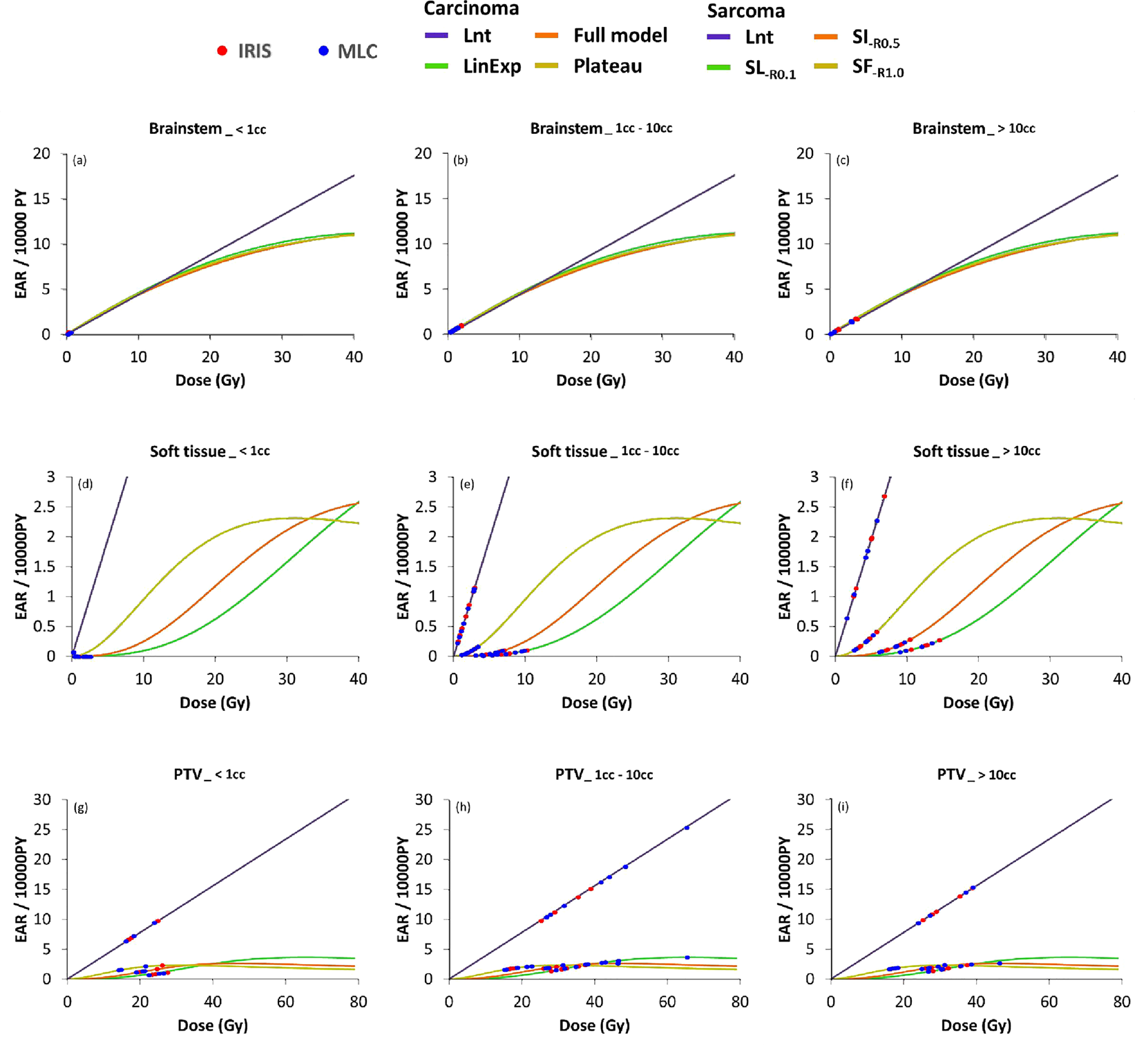
Figure 2

EAR (per 10,000 PY) as a function of RED for brainstem, soft tissue, and PTV using four different dose–response models in three different volume categories; dot plot for 15 patients stratified by the two techniques, i.e., MLC (blue dots) and IRIS (red dot), which presented the relationships between the corresponding DVH plots and the RED models. Notes: The EAR has units of excess cases per 10,000 person-years (PY)/Gy. Schneider dose–response model with repopulation/repair effects using Eq. 2 with a fixed limit of R; low repopulation (SL-R0.1) R = 0.1, intermediate repopulation (SI-R0.5) R = 0.5, full tissue recovery models (SF-R1.0) R = 1.0; The results showed that EAR for future secondary cancer was higher for patients who were younger at the time of radiation treatment. Significance (P < 0.05) was observed only in (e,f). Abbreviations: MLC, Multileaf collimator; IRIS, Iris collimator; Lnt, Linear-no-threshold dose–response model; LinExp, linear-exponential dose–response model; Plateau, Plateau dose–response model; Full, Schneider parameterization dose–response model.