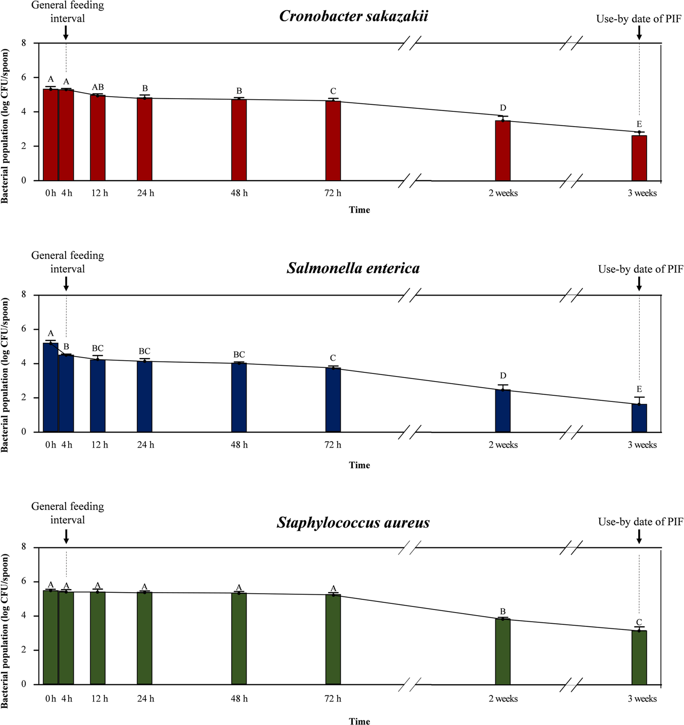
Figure 2

Survival of bacteria (log CFU/spoon) on the surface of spoon contaminated from artificial skin with high bacterial load (6 log CFU/hand) during storage in touched with PIF. Data showed mean ± standard deviation (quantitative analysis; n = 6). Different capital alphabets (A–E) denoted on each data indicate significant differences of population levels between experimental time points within the same bacterial species (p < 0.05). The arrow bars (↓) indicate the general feeding interval (4 h) and use-by date of PIF suggested manufacturer (3 weeks).