Figure 2

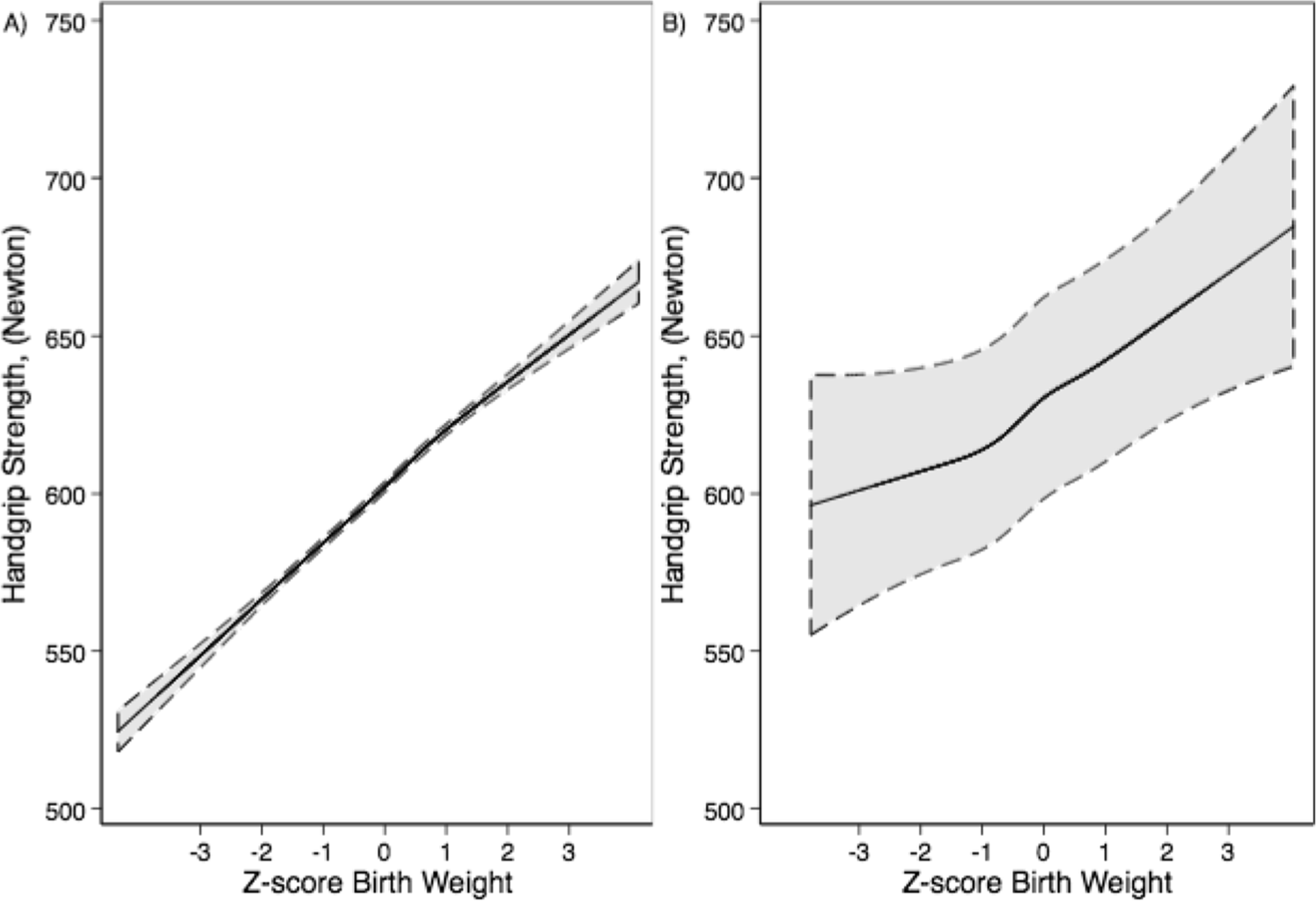
Adjusted associations, estimated with restricted cubic spline models, between birth weight z-scores and grip strength (Newton) for (A) the full-cohort, and (B) the within-families cohort (B) (95% confidence interval dashed).

Adjusted associations, estimated with restricted cubic spline models, between birth weight z-scores and grip strength (Newton) for (A) the full-cohort, and (B) the within-families cohort (B) (95% confidence interval dashed).