Figure 3
From: Changes to vertebrate tissue stable isotope (δ15N) composition during decomposition

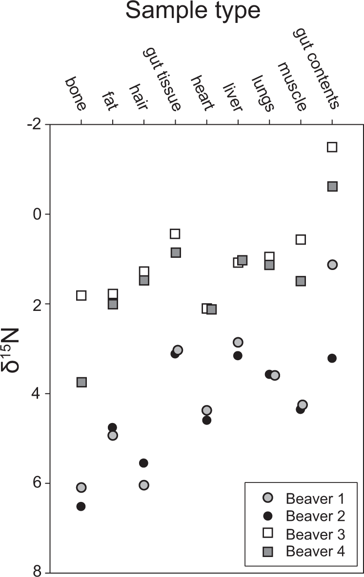
Stable δ15N isotopic composition of fresh beaver soft tissues, bone, hair, and gut contents (N = 4).
From: Changes to vertebrate tissue stable isotope (δ15N) composition during decomposition

Stable δ15N isotopic composition of fresh beaver soft tissues, bone, hair, and gut contents (N = 4).