Figure 5
From: Changes to vertebrate tissue stable isotope (δ15N) composition during decomposition

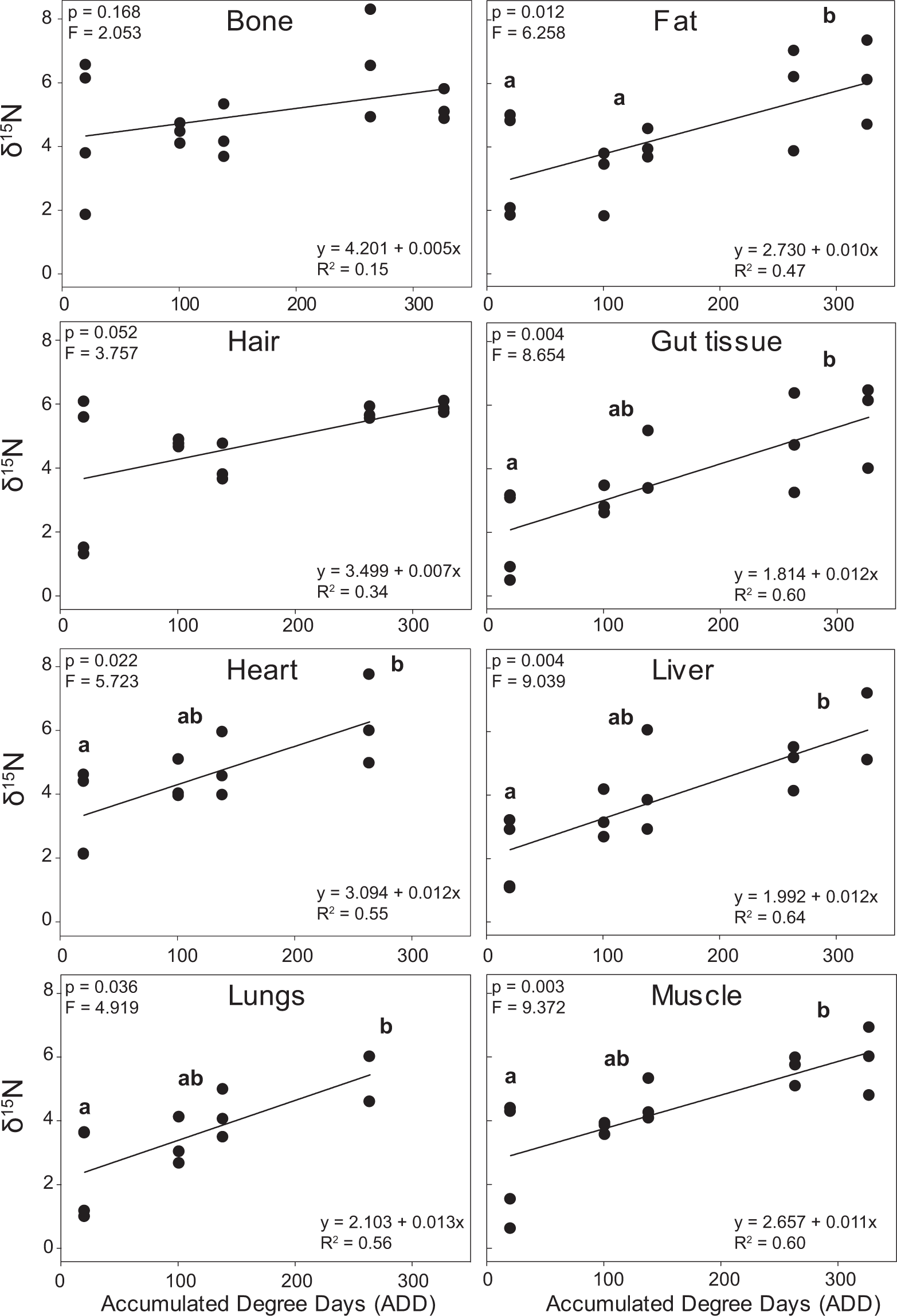
Changes to stable N isotopic fractionation over time. There is a significant linear increase in isotopic enrichment relative to diet during decay for all soft tissues and hair. The linear relationship between δ15N and ADD was not significant for bone. Heart and lung tissue were no longer identifiable by the final active sampling time point (326.9 ADD) and could not be sampled.