Figure 5
From: The value of long-term citizen science data for monitoring koala populations

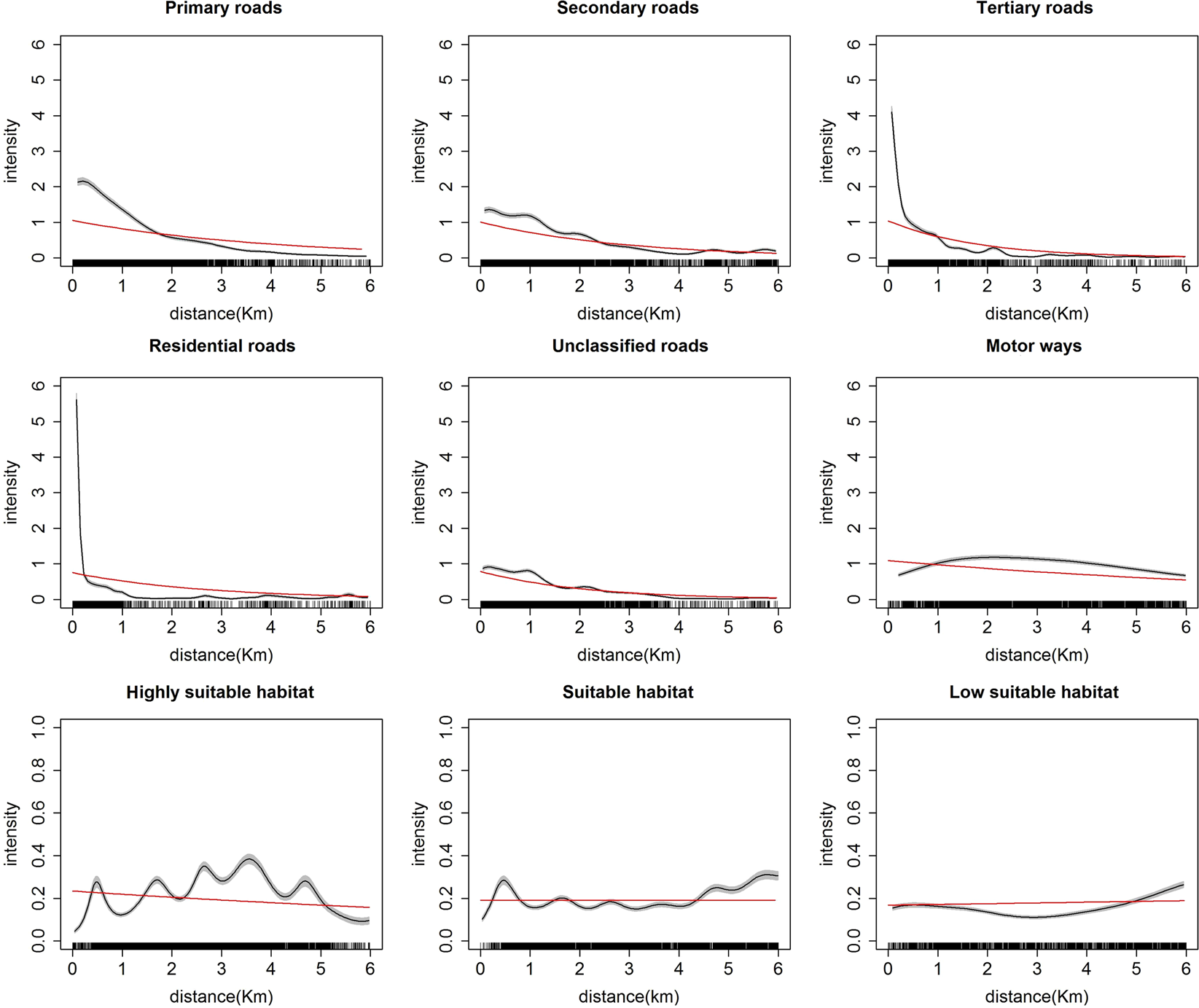
Density of koala sightings (black line with 95% confidence bands -grey) as a function of distance to the landscape features. Estimates of a parametric model using each distance covariate are superimposed on each plot as red lines. The top two panels show koala sighting density as a function of the distance to primary, secondary, tertiary, residential, unclassified roads and motorways. The bottom panel shows koala sighting density as a function of distance to highly suitable, suitable and low suitable habitat. Intensity estimates were calculated using the rhohat function implemented in the contributed R-3.5.0 software (https://cran.r-project.org) package spatstat34. Road data were obtained from the Queensland Spatial Catalogue (http://qldspatial.information.qld.gov.au).