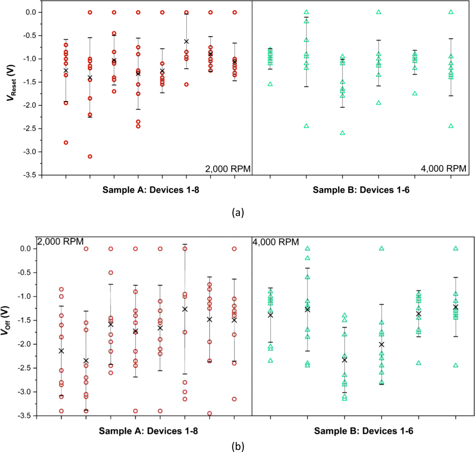
Figure 7

Summary of extracted measured (a) Vreset (V) and (b) Voff (V) values for 10 SET-RESET cycles for different devices on samples A (red circles) and sample B (green triangles). Also shown are the mean values for each device (black ×).

Summary of extracted measured (a) Vreset (V) and (b) Voff (V) values for 10 SET-RESET cycles for different devices on samples A (red circles) and sample B (green triangles). Also shown are the mean values for each device (black ×).