Figure 8

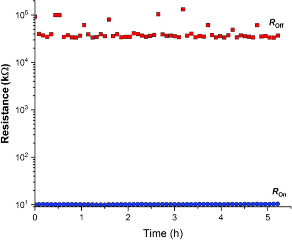
Retention test for a device from sample B with HRS and LRS resistance (Roff and Ron) measured at 0.5 V reading voltage every 5 min over period of approximately 5 hours for each state.

Retention test for a device from sample B with HRS and LRS resistance (Roff and Ron) measured at 0.5 V reading voltage every 5 min over period of approximately 5 hours for each state.