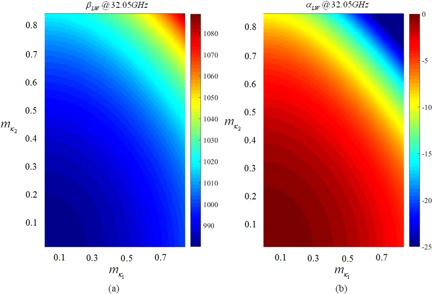
Figure 10
From: Metasurface Antennas: New Models, Applications and Realizations

Maps of the leaky wave propagation (a) and attenuation (b) constants, evaluated at 32.05 GHz. The quantities are expressed as a function of mκ1 and mκ2. The substrate used in this calculations is Rogers RO3010 with εr = 10.2 and thickness hd = 0.635 mm.