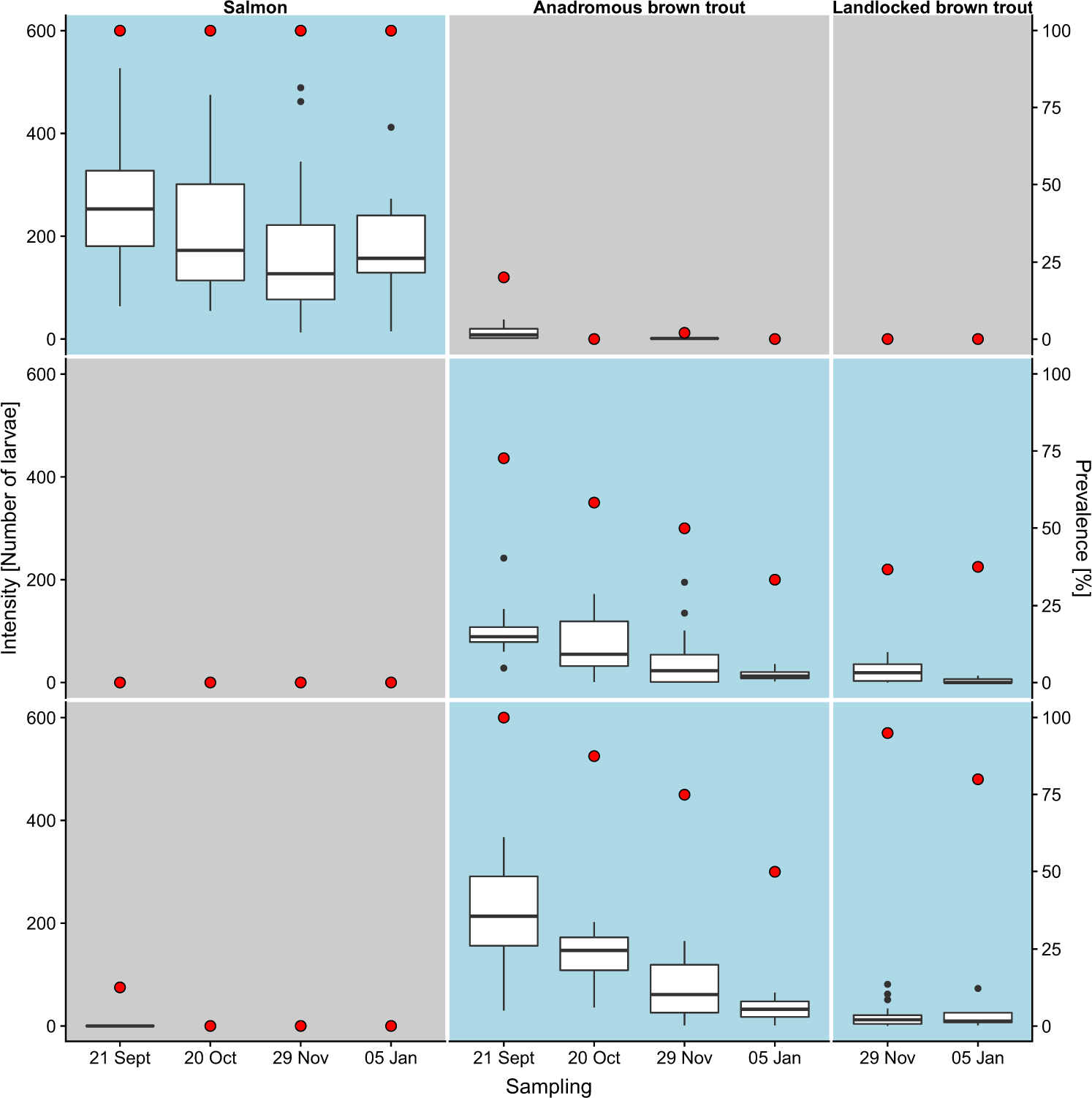
Figure 2
From: Host specificity drives genetic structure in a freshwater mussel

Infestation of host fishes (Atlantic salmon, anadromous brown trout, landlocked brown trout) by larvae from three Norwegian freshwater pearl mussel populations: River Figgjo (upper row), River Flotåna (mid row), River Svinesbekken (lower row). Infestation prevalence is given as the percentage of fish that was infested (red dots) and infestation intensity as the number of larvae on the left gills of infested fish (boxplots). Infestation was measured at four sampling occasions over a period of 15 weeks. Blue background colour indicates expected host specificity, based on infestation in the wild. Sample size varies between 5 and 50 for combinations of host fishes, mussel populations and sampling occasions. Box plots show medians, upper/lower quartiles, minima and maxima. Black dots show outliers.