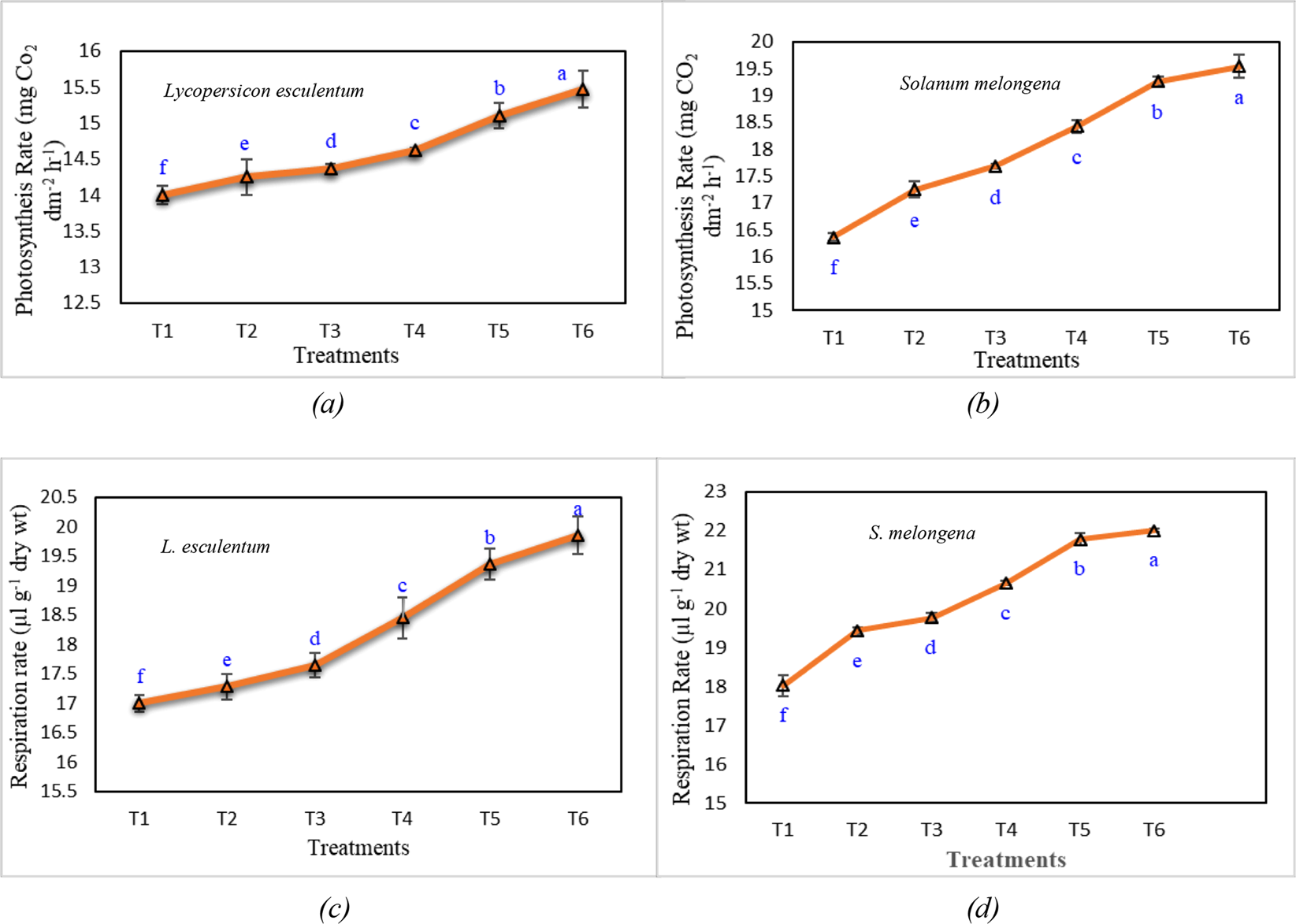
Figure 7

Photosynthesis and Respiration rate during harvesting of Lycopersicon esculentum and Solanum melongena dusted at different rates of vermicomposted fly ash. Illustration: Values are in Meanā±āSD; (nā=ā3). Different letters at each data point of the line graph depict significant differences in the photosynthetic and respiration rates respectively at pā<ā0.05 (One-Way ANOVA). The normality and homogeneity of variances were verified, respectively, by Shapiro-Wilk and Levene values at pā>ā0.05.