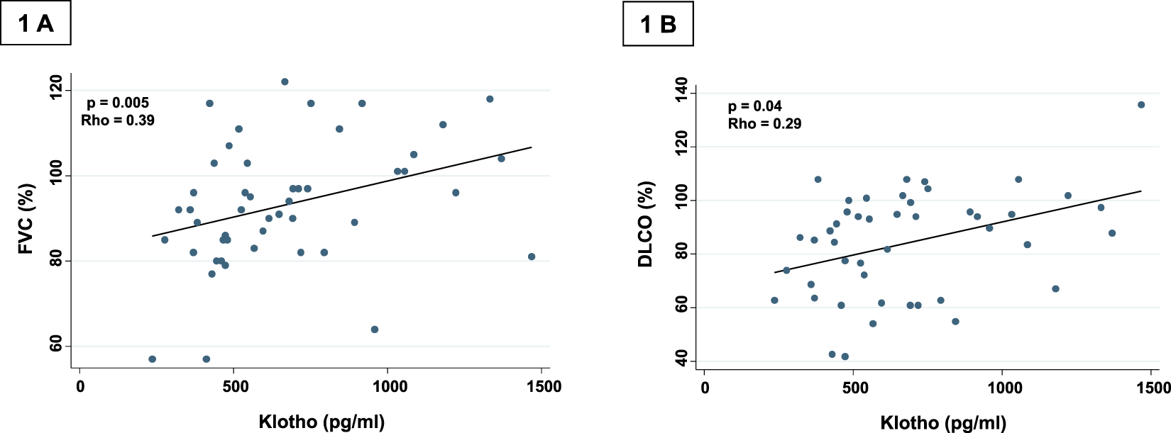
Figure 1

Spearman correlation between α-Klotho serum concentrations and forced vital capacity (FVC) (A), and diffusing capacity of the lung for carbon monoxide (DLCO) % predicted (B). Inserted lines represent regression line.

Spearman correlation between α-Klotho serum concentrations and forced vital capacity (FVC) (A), and diffusing capacity of the lung for carbon monoxide (DLCO) % predicted (B). Inserted lines represent regression line.