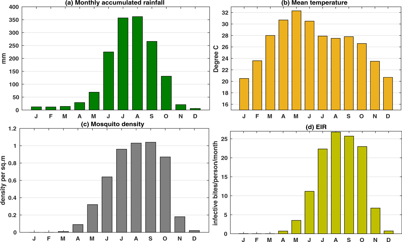
Figure 4
From: Numerical Modeling of the Dynamics of Malaria Transmission in a Highly Endemic Region of India

Monthly variations in VECTRI-simulated. (a) Accumulated rainfall, (b) surface mean temperature, (c) mosquito density, and (d) EIR, over Odisha. The graphs correspond to the averaging period of 2000–2013.