Figure 2
From: Biochar amendment improves degraded pasturelands in Brazil: environmental and cost-benefit analysis

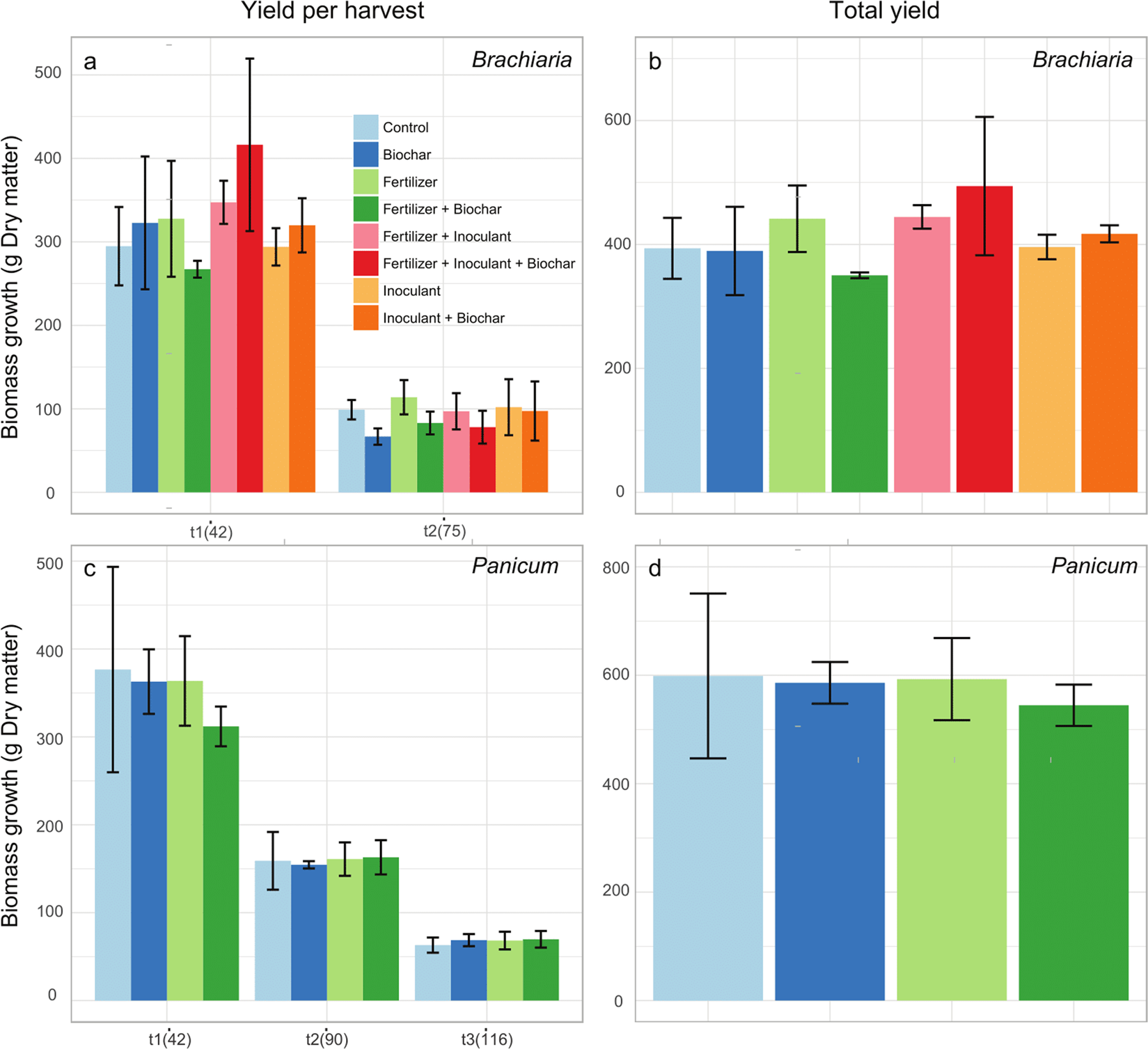
Aboveground biomass was harvested in two or three different times (42 and 75 days after planting for Brachiaria, and 42, 90 and 116 after planting for Panicum) in the field trial. Left panels (a,c) show the yield in each of the harvests, and the right panels (b,d) show the total yield of the trial. Vertical lines above each bar show the standard error.