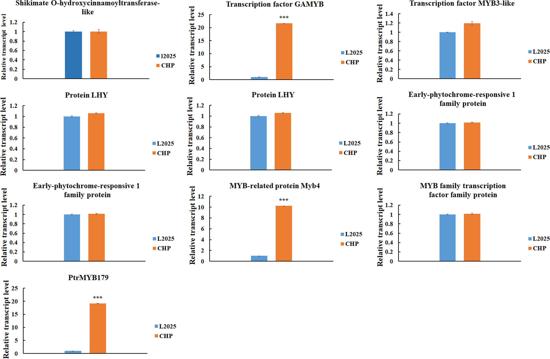
Figure 5

The relative expression levels of ten R2R3-MYB family genes in the leaves determined by quantitative real-time PCR (qRT-PCR) analysis between L2025 and CHP. Bars indicate the mean ± SE, n = 3. ***Indicated P ≤ 0.001.

The relative expression levels of ten R2R3-MYB family genes in the leaves determined by quantitative real-time PCR (qRT-PCR) analysis between L2025 and CHP. Bars indicate the mean ± SE, n = 3. ***Indicated P ≤ 0.001.