Figure 2
From: An efficacy evaluation method for non-normal outcomes in randomized controlled trials

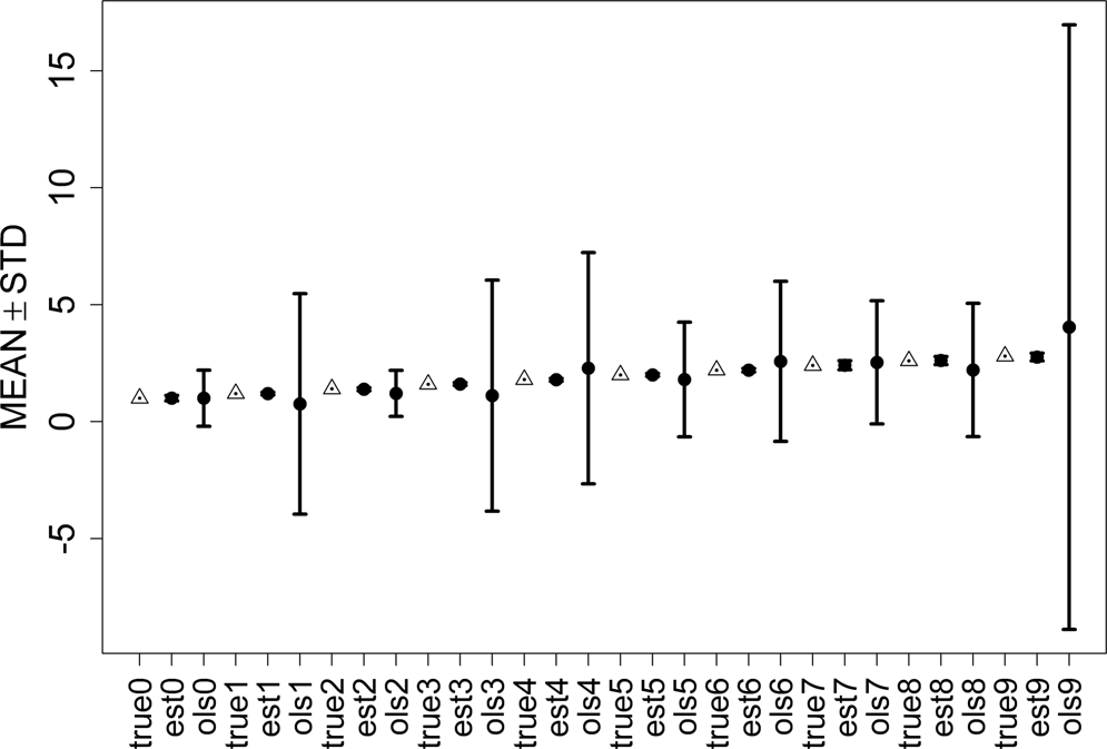
Error bars of ESL and OLS with 10% contamination.
From: An efficacy evaluation method for non-normal outcomes in randomized controlled trials

Error bars of ESL and OLS with 10% contamination.