Figure 2

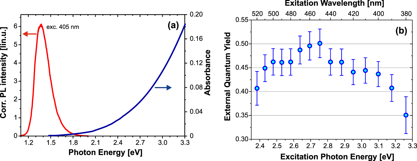
(a) Broad range PL and absorbance spectra of the 50 bilayer sample and (b) EQY excitation spectrum (both at room temperature).

(a) Broad range PL and absorbance spectra of the 50 bilayer sample and (b) EQY excitation spectrum (both at room temperature).