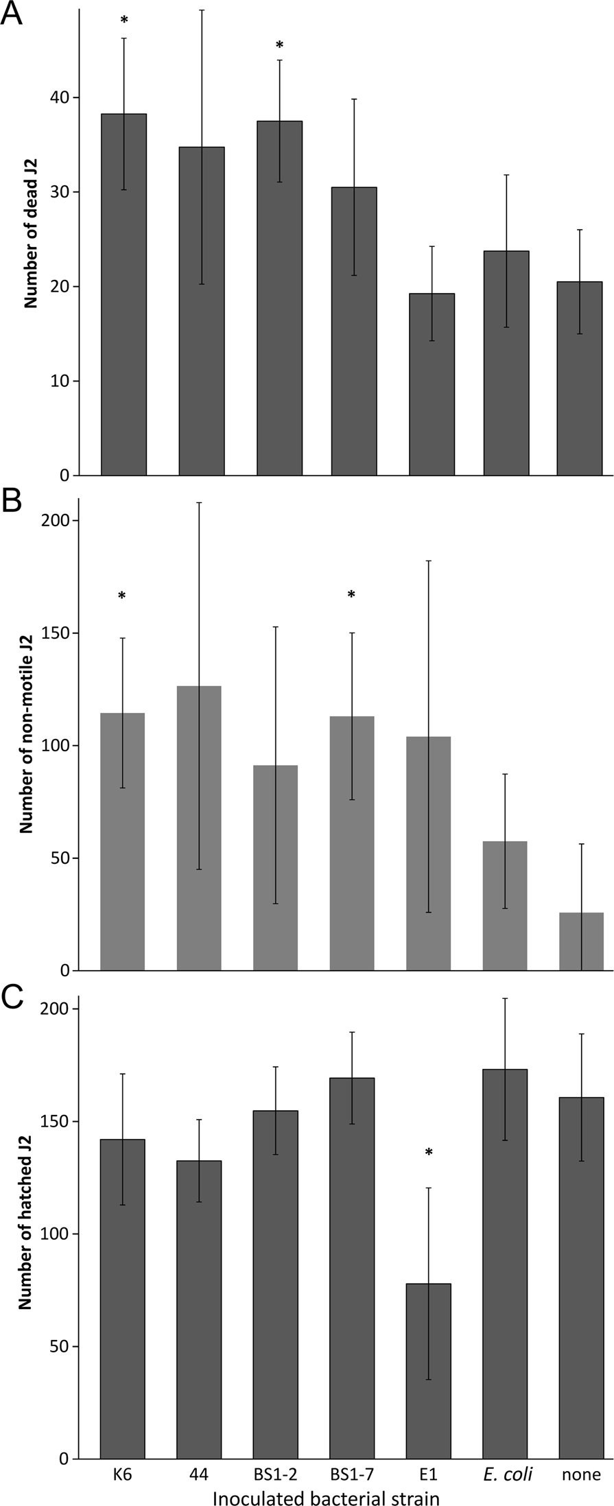
Figure 6

Effect of attached bacteria on mortality, motility and hatching of Meloidogyne hapla J2. The bacterial isolates and the control E. coli EK5-23 were attached to J2, and the effects on J2 mortality (A), J2 motility (B), and egg hatch (C) were determined, in comparison to J2 incubated with sterile water. Error bars represent standard deviations. The isolates that were tested were K6 (Microbacterium sp.), BS1-2 (Sphingopyxis sp.), i.44 (Microbacterium sp.), BS1-7 (Brevundimonas sp.), and E1 (Acinetobacter sp.). Stars indicate significant differences to the control without bacteria (Dunnett test, n = 4).