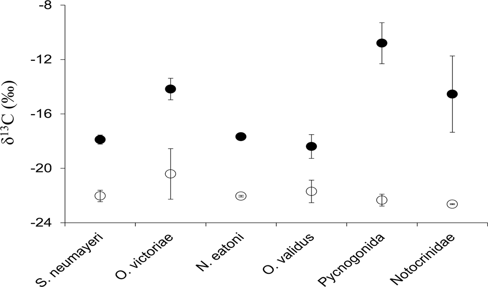
Figure 3
From: Antarctic food web architecture under varying dynamics of sea ice cover

δ13C values of benthic organisms. Comparison between areas (i.e. BEFORE sea-ice break up, empty symbols, and AFTER sea-ice break up, black symbols) of the mean ± s.e. δ13C values of six generalist taxa commonly found in Antarctic benthic communities.