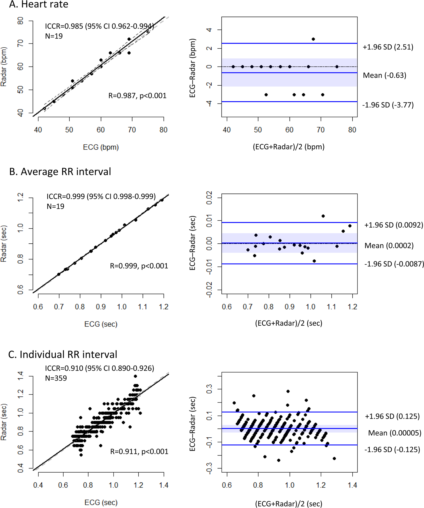
Figure 6

Agreement between the radar and ECG in the NSR group. The PR (A), average R-R interval (B) and the individual R-R intervals (C) were measured in the NSR group using IR-UWB radar and ECG. There was excellent agreement between the two methods for both the PR and average R-R interval. The individual R-R intervals measured using radar also agreed well with those measured using ECG, although the agreement level was slightly lower than that for the PR and average R-R interval. †ECG, electrocardiography; ICCR, intraclass correlation coefficient.