Figure 6
From: The genetic relationship between female reproductive traits and six psychiatric disorders

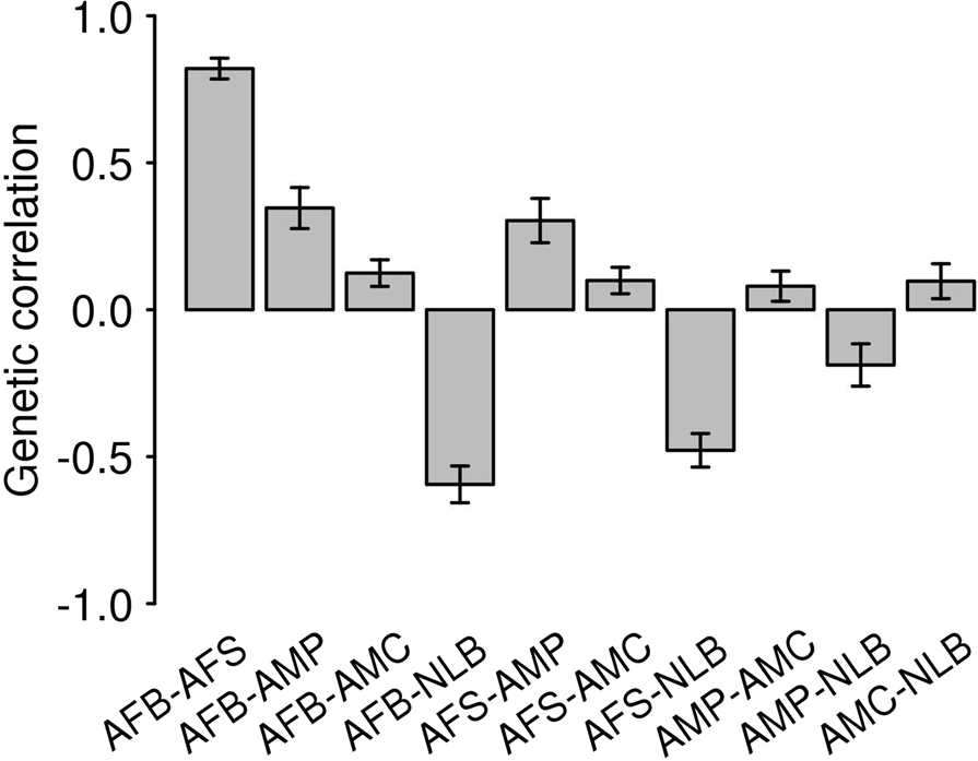
Genetic correlations among the five reproductive traits estimated using the base model. In the base model, the reproductive traits were adjusted for age at interview, year of birth, study center, genotype batch, and the first 15 principal components. Error Bars are 95% confidence intervals. AFB: Age at first birth. AFS: Age at first sexual intercourse. AMC: Age at menarche. AMP: age at menopause. NLB: Number of live births.