Figure 5

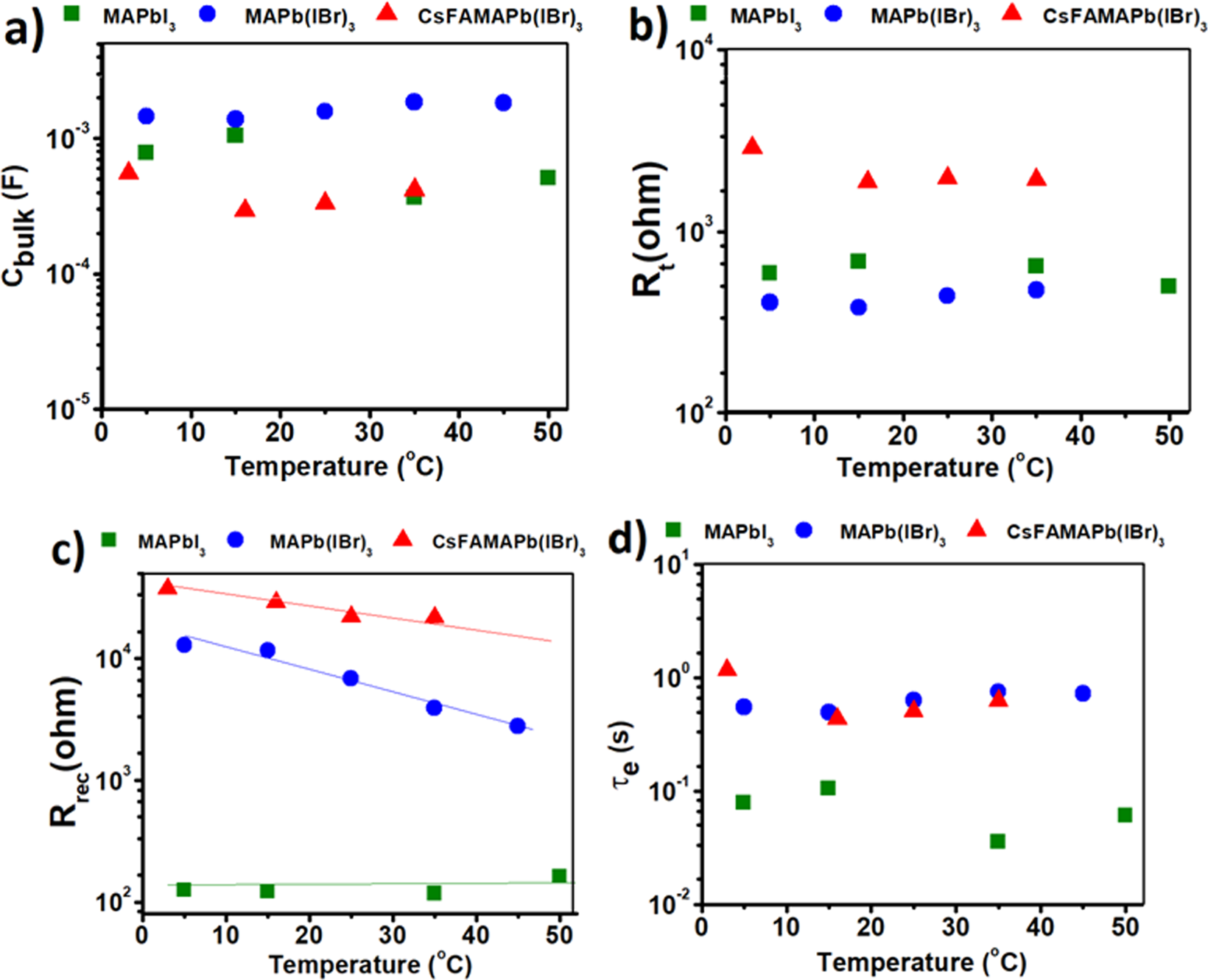
Dependence of (a) photo-induced bulk capacitance, Cbulk, (b) transport resistance, Rt, (c) recombination resistance, Rrec and (d) electronic characteristic time, τe as a function of temperature.

Dependence of (a) photo-induced bulk capacitance, Cbulk, (b) transport resistance, Rt, (c) recombination resistance, Rrec and (d) electronic characteristic time, τe as a function of temperature.