Figure 7
From: The inhibitory effect of quaternary ammonium salt on bacteria in root canal

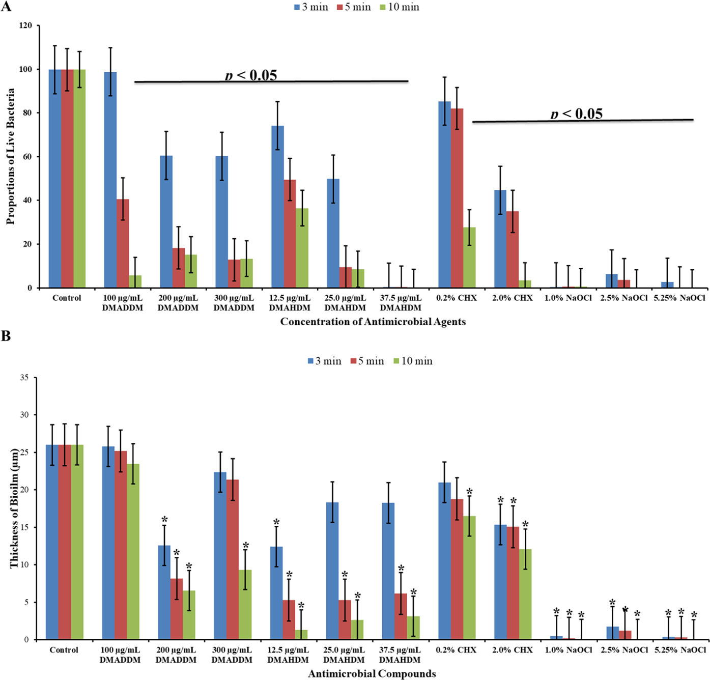
(A) Proportion of live bacteria in biofilm after treatment with DMADDM, DMAHDM, CHX and NaOCl for 3 min, 5 min and 10 min. (B) Thickness of biofilm after treatment with antimicrobial compounds. Each group name and contact duration is indicated in Image. Higher concentrations of DMADDM and DMAHDM, and increased duration of contact with biofilm provided stronger antimicrobial effect. Data is presented in mean ± standard deviation. *P < 0.05.