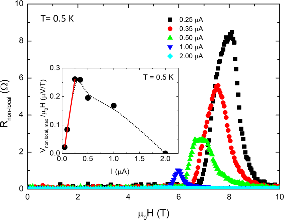
Figure 3
From: Long-range vortex transfer in superconducting nanowires

Magnetic field dependence of the non-local resistance at 0.5 K using bias currents from 0.25 μA to 2 μA for the nanostructure A-long. Inset shows normalized maximum non-local voltage as a function of the current at 0.5 K. The red line is the fit to Eq. (1) and the dotted line is a guide to the eye.