Figure 4
From: Dynamic of a Delayed Predator-Prey Model with Application to Network’ Users’ Data Forwarding

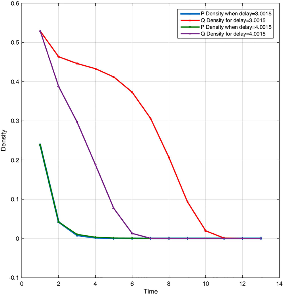
System dynamic over time when the prey suffers much from the delaying effect and shrinks for P(0) = 0.238; Q(0) = 0.529; r = 1.5; a = 1.42; K = 20; θ = 0.98735; τ = 3.0015; β = 2.19995; c = 0.00120.