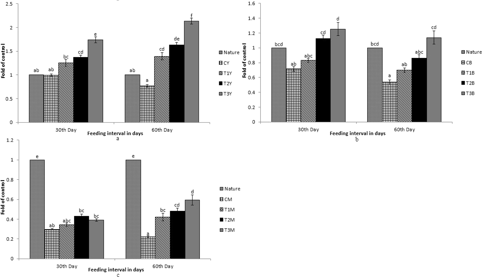
Figure 6

Expression pattern of StAR5 gene; (a) Expression pattern in yellow skin bands with respect to Nature, where CY, T1Y, T2Y, T3Y are yellow skin tissues of control, T1, T2, and T3 respectively. (b) Expression pattern in black skin bands with respect to Nature, where CB, T1B, T2B, T3B are black skin tissues of control, T1, T2, and T3 respectively. (c) Pattern in muscle with respect to Nature, where CM, T1M, T2M, T3M are muscle tissues of control, T1, T2, and T3 respectively. Bars represent meansā±ās.d. Different letters over bars indicate significant difference (Pā<ā0.05).