Figure 3
From: Diffusion Tensor Imaging of the Kidney: Design and Evaluation of a Reliable Processing Pipeline

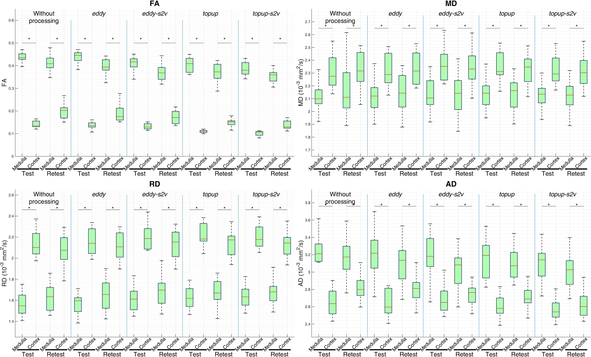
Comparison of cortical and medullary DTI parametric map values (FA: fractional anisotropy; MD: mean diffusivity; RD: radial diffusivity; AD: axial diffusivity) for each processing pipeline (without processing, eddy, eddy-s2v, topup, topup-s2v), for both test and retest data. MD, RD and AD values are expressed in 10−3 mm2/s. Red bars represent the median and green boxes include from 25th to 75th percentile of the samples. Asterisk symbol indicates statistically significant difference.