Figure 5
From: NH4+-N alleviates iron deficiency in rice seedlings under calcareous conditions

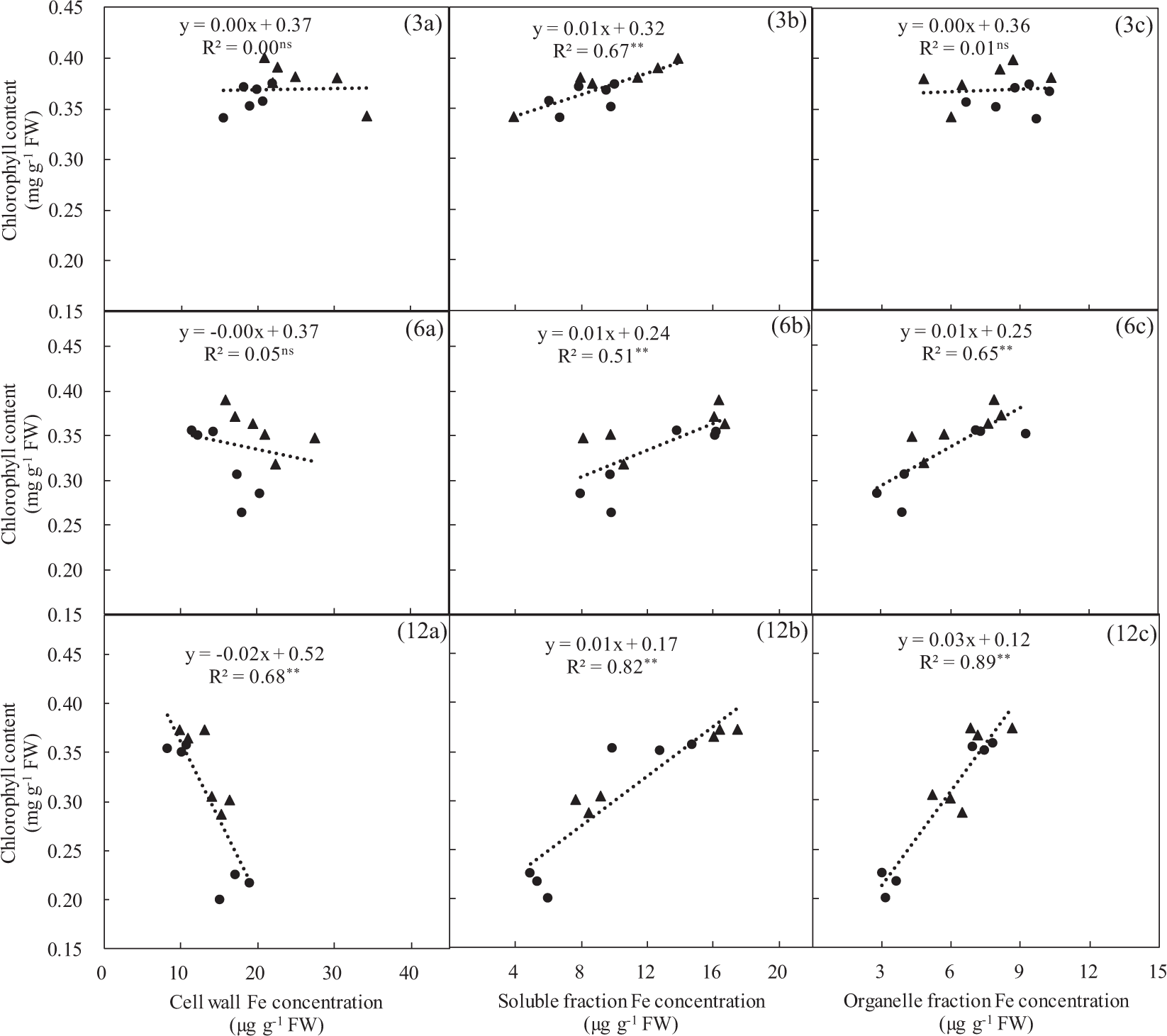
Relationship between leaf subcellular Fe concentration and leaf chlorophyll concentration of rice growing in solutions supplied with NH4+-N (AN) or NO3−-N (NN) as the N source and buffered at high pH (7.5) during Fe-deficient for 3 (3a, 3b and 3c), 6 (6a, 6b and 6c) and 12 days (12a, 12b and 12c) (‘Experiment 1’). Filled triangles and filled circles represent T43 and T04, respectively. Lines represent linear regressions. “**” or “ns”: significant at p < 0.01 or p > 0.5.