Figure 6

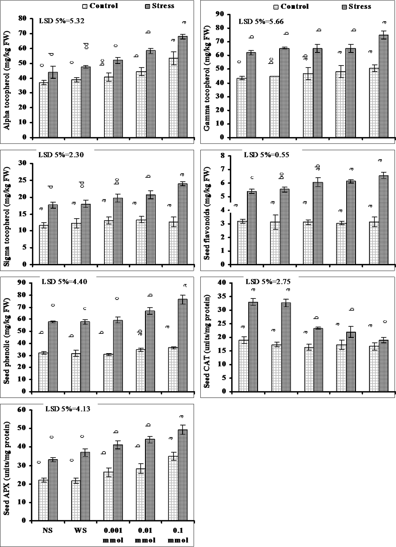
Seed nutritional quality of drought-stressed wheat plants sprayed with different levels of α-tocopherol when applied at the heading stage (mean ± SE).

Seed nutritional quality of drought-stressed wheat plants sprayed with different levels of α-tocopherol when applied at the heading stage (mean ± SE).