Figure 7
From: Photon-Assisted Perfect Conductivity Between Arrays of Two-Level Atoms

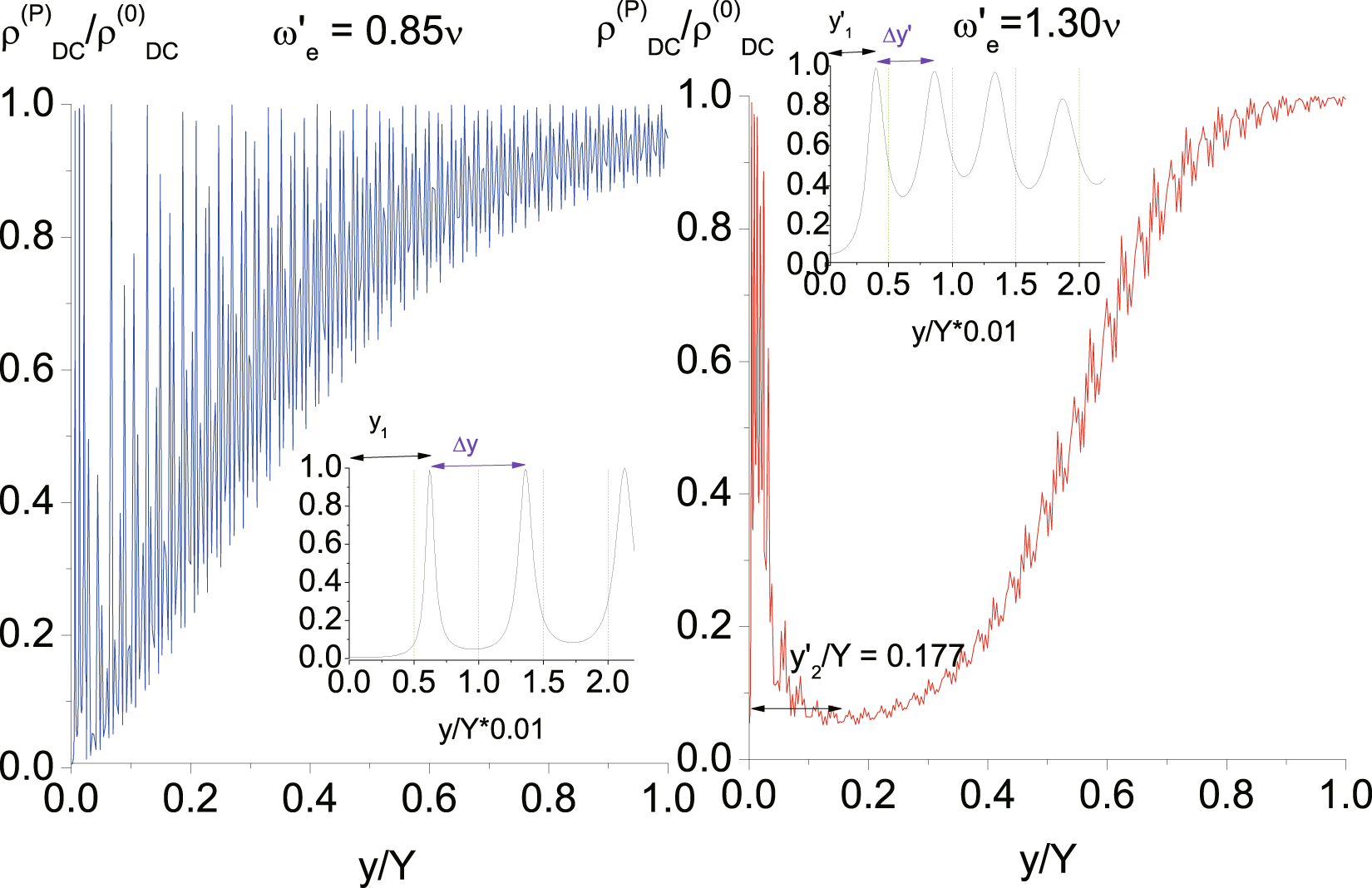
DC resistivity with separation. DC resistivity \({\rho }_{DC}^{(P)}={({\sigma }_{DC}^{(P)})}^{-1}\) (in units of \({\rho }_{DC}^{(0)}\)) of the measured array versus the separation from the source array up to \(Y=630a\). (a) Figure on the left (named as Fig. 7(a)) depicts the DC resistivity when the incoming frequency of the external source \({\omega }_{e}=0.85\nu +{\varepsilon ^{\prime} }_{1}\) (\({\omega ^{\prime} }_{e}=0.85\nu \)). (b) Figure on the right (named as Fig. 7(b)) depicts the DC resistivity when the incoming frequency of the external source \({\omega }_{e}=1.30\nu +{\varepsilon ^{\prime} }_{1}\) (\({\omega ^{\prime} }_{e}=1.30\nu \)). Both insets show the details of the two curves of resistivity at short separations up to 0.02Y = 12.6a, respectively.