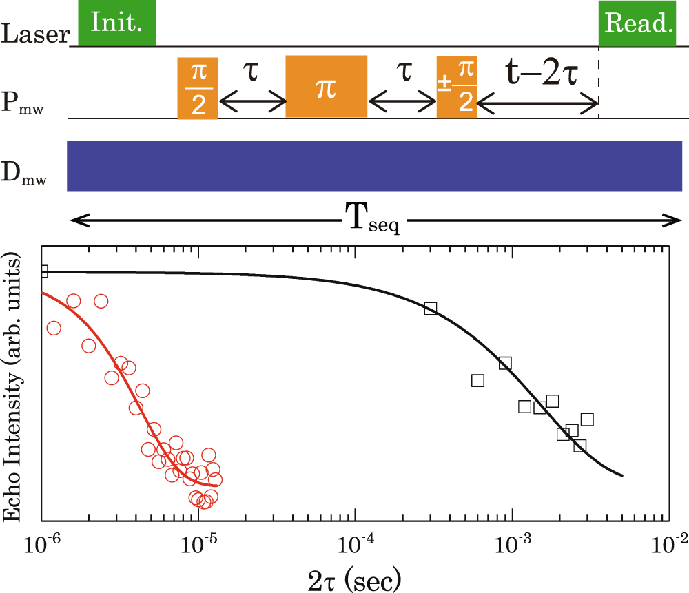
Figure 6
From: Extension of the Coherence Time by Generating MW Dressed States in a Single NV Centre in Diamond

(Top) Pulse sequence to observe T2ρ and T2 with applying a phase cycle to the final π/2 pulse. (Bottom) Black and red plots show the results of T2ρ and T2 measurements, respectively. They are fitted by exponential decay curves described by black and red solid lines.