Figure 3
From: Equatorial Pacific seawater pCO2 variability since the last glacial period

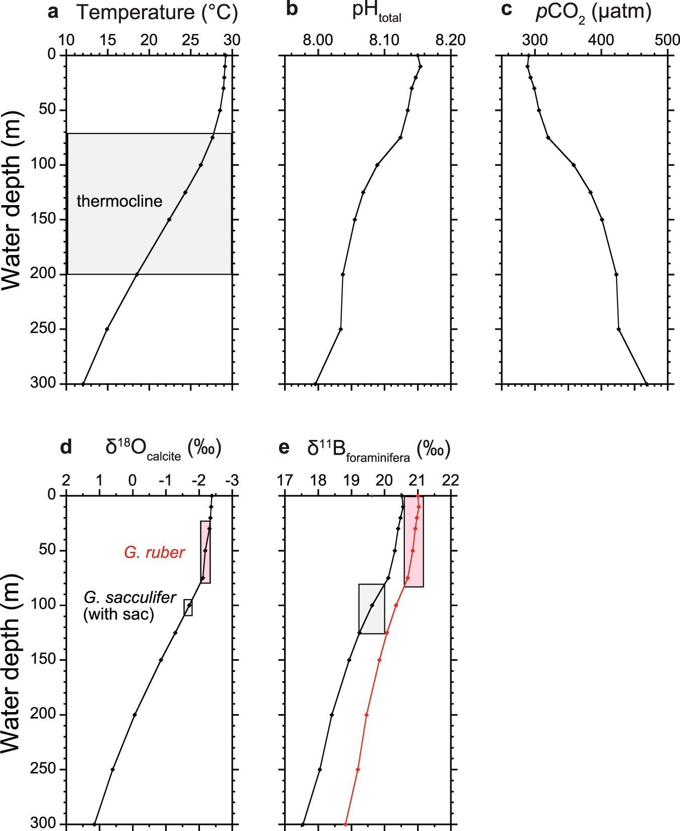
Depth profile of seawater CO2 system and calcification depth estimation of planktonic foraminifera. Depth profile of seawater properties and calcification depth estimation of G. ruber, and T. sacculifer (with sac-like final chamber), in the WEP. (a) Depth profile of water temperature74. The shaded area indicates thermocline depth. (b) Seawater pH and (c) seawater pCO2 calculated using pre-industrial dissolved inorganic carbon and total alkalinity43. (d) δ18O and (e) δ11B values estimated using water temperature, salinity, seawater pH, and species-specific δ11B–pH calibration equations.