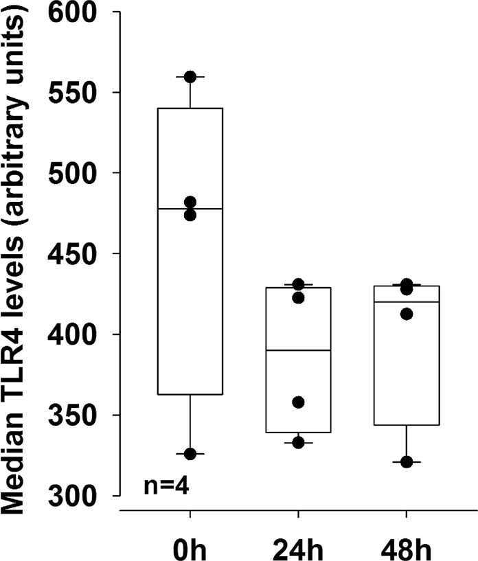
Figure 10

Median toll-like receptor 4 (TLR4) cellular surface expression on RA synovial fibroblasts. RA synovial fibroblasts were stimulated with 10−7 mol/l T3 over 24 and 48 hours. Surface expression of TLR4 was determined by flow cytometry analysis. Box plots demonstrate the 10th (whisker), 25th, 50th (median), 75th, and 90th (whisker) percentile. Every black symbol represents the mean of duplicate values of one patient (total: n = 4 patients). For comparisons of medians at 24 and 48 hours with the zero hour control (0 h), the Mann-Whitney-test was used.