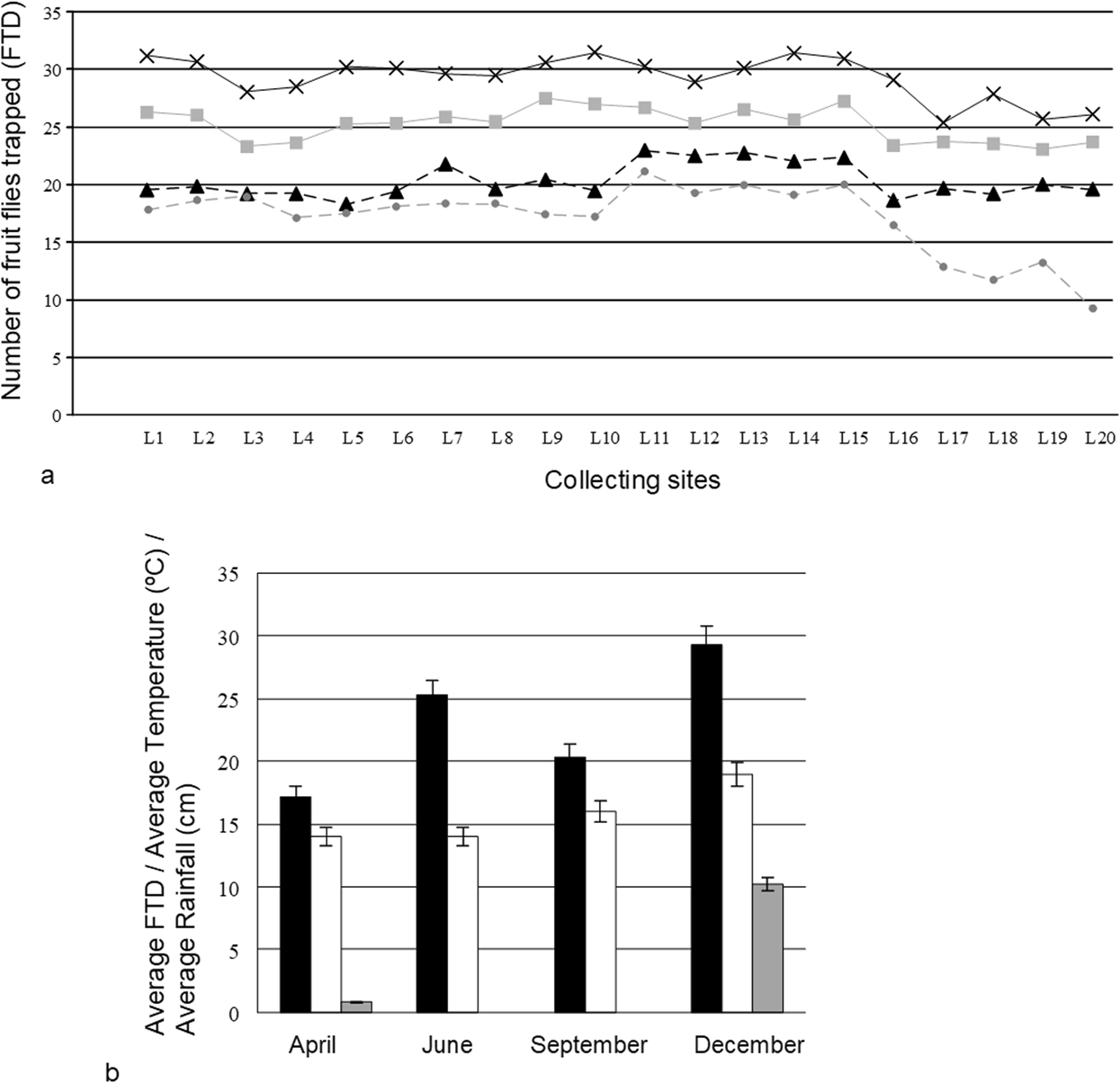
Figure 4

Fruit flies per trap per day (FTD) and weather data. (a) FTD data for all locations (assigned as L1 to L20) for the months of April (black line with x), June (grey line with squares), September (black dotted line with triangles), and December (grey dotted line with dots). (b)Monthly averages of FTD (in black), mean temperature (°C; in white), mean rainfall (cm; in grey) for April, June, September, and December.