Figure 5
From: Tunable subwavelength ultrasound focusing in mesoscale spherical lenses using liquid mixtures

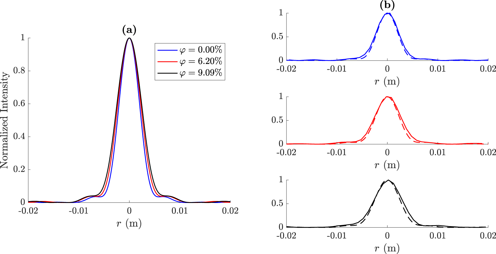
Transversal intensity cuts at z = F: (a) simulation results and (b) experimental measurements (solid lines) compared to their simulated counterparts (dashed lines).