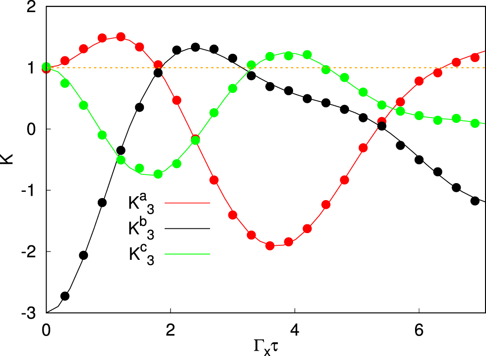
Figure 2

Plot of the Leggett-Garg’s function, in the absence of coupling to the environment. The lines are obtained performing projective measurements. The dots are calculated with weak measurements considering \(N={10}^{6}\), \(D=20\). \({K}_{3}^{a}\) in red, \({K}_{3}^{b}\) in black and \({K}_{3}^{c}\) in green. The orange line marks the bound of the LGI. Here \(\tau ={t}_{2}-{t}_{1}={t}_{3}-{t}_{2}\), \(\tau \in [0,{t}_{f}/2]\).