Figure 3
From: Echo State Networks with Self-Normalizing Activations on the Hyper-Sphere

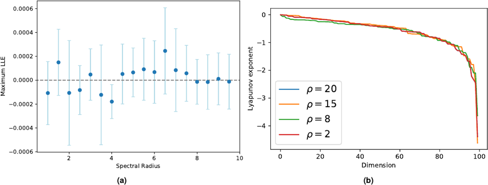
Panel (a) shows LLEs for different value of the SR. Each point in the plot represents the mean of 10 different realizations, using a network with \(N=500\) neurons. In panel (b) examples of the Lyapunov spectrum for different 100-dimensional networks are plotted. The Lyapunov exponents are ordered by decreasing magnitude. Note that the largest exponent is always zero.