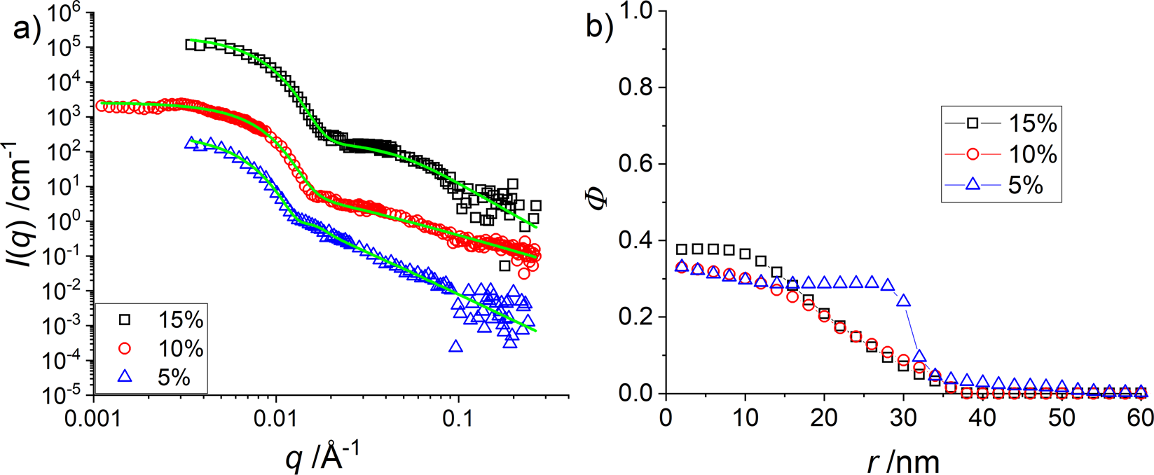
Figure 6

(a) Vertically shifted I(q) vs. q from SANS measurements of three H-pNIPMAM-core D7-pNNPAM-shell microgels with different CCC as indicated in the legend at T = 55 °C, under matching conditions of the shell. (b) Density profiles of core monomers determined by the multi-shell RMC approach.