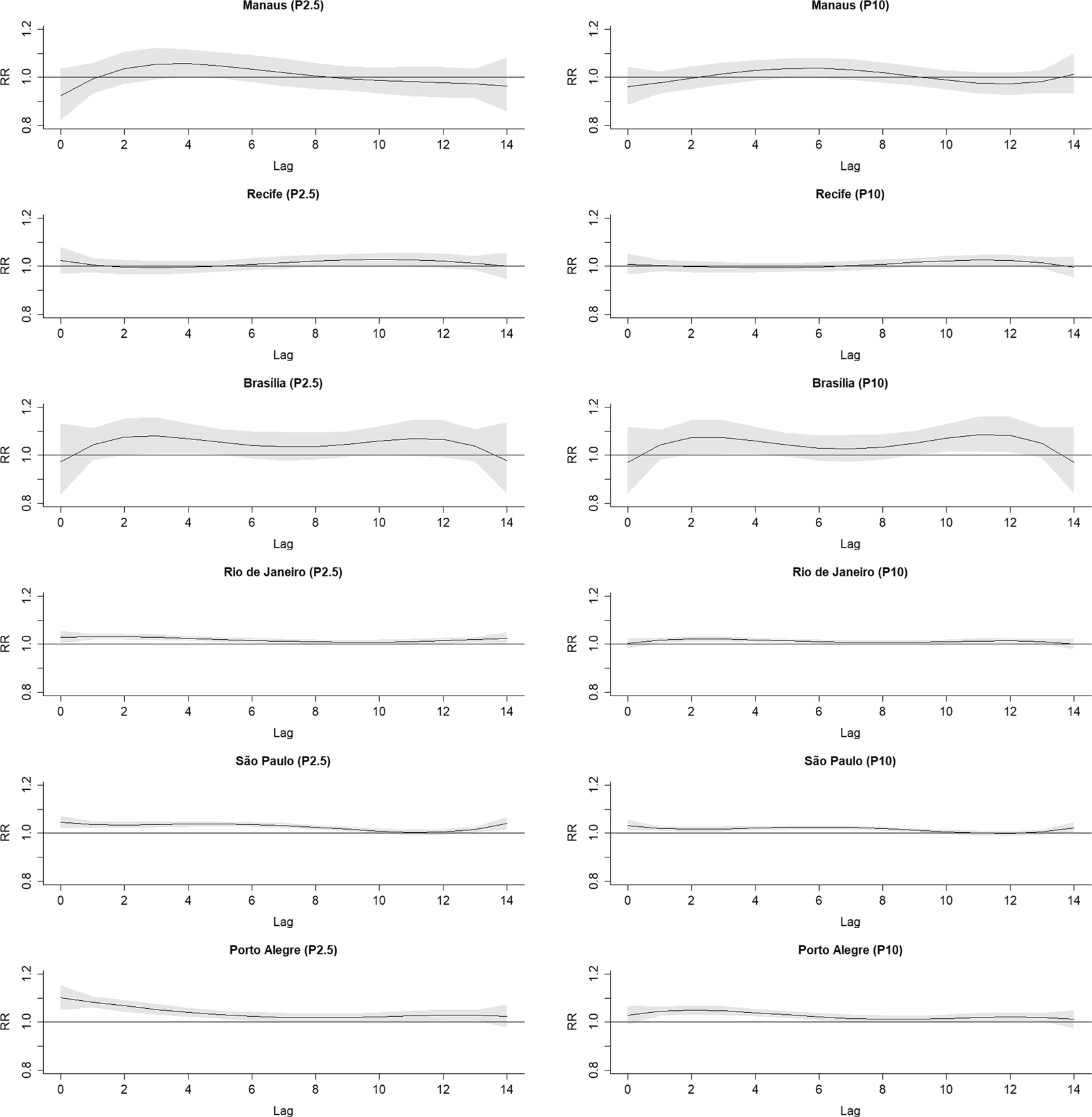
Figure 3

Relative risks of up to lag 14 for each region, by 2.5th and 10th percentiles of temperature (extreme and moderate cold).

Relative risks of up to lag 14 for each region, by 2.5th and 10th percentiles of temperature (extreme and moderate cold).