Figure 4

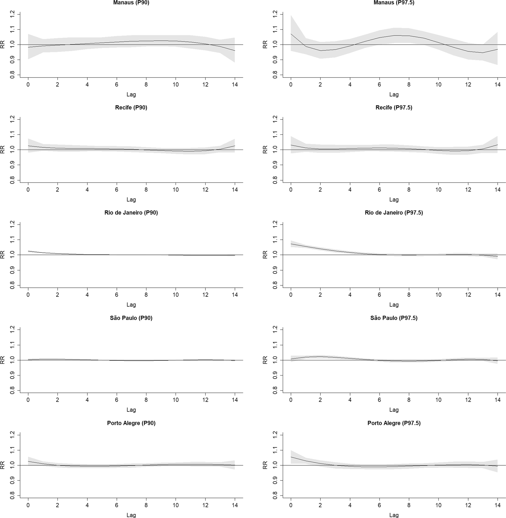
Relative risks of up to lag 14 for each region, by 90th and 97.5th percentiles of temperature (moderate and extreme heat).

Relative risks of up to lag 14 for each region, by 90th and 97.5th percentiles of temperature (moderate and extreme heat).