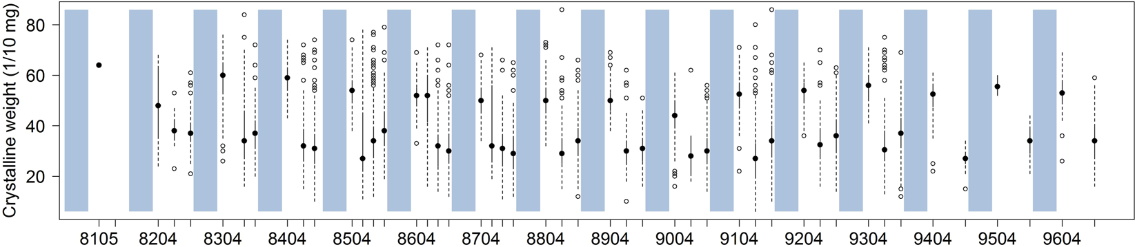
Figure 2
From: Weather influences M. arvalis reproduction but not population dynamics in a 17-year time series

Age structure variations. Black circles, median; vertical bars, whisker box (solid line, inter-quartile interval; dotted line, whisker range, maximum 1.5x the interquartile interval; empty circles, outliers.