Figure 7
From: Full-wave electromagnetic modes and hybridization in nanoparticle dimers

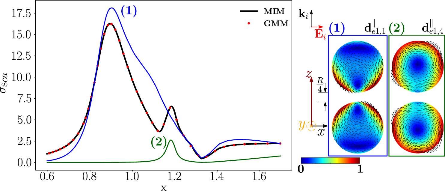
Scattering efficiency \({\sigma }_{sca}\) of an Ag homo-dimer as a function of the size parameter \(x=2\pi R/\lambda \), obtained via material-independent-mode expansion (black line) and by direct-calculation (red dots). The radius of each sphere is \(R=67.5\) nm, the edge-edge distance \(R/4=16.9\) nm. The dimer is excited by a plane wave propagating along the dimer’s axis and polarized along the transverse direction. Partial scattering efficiency (in color) of two dominant dimer-modes whose y= 0 plane projections are shown on the right.