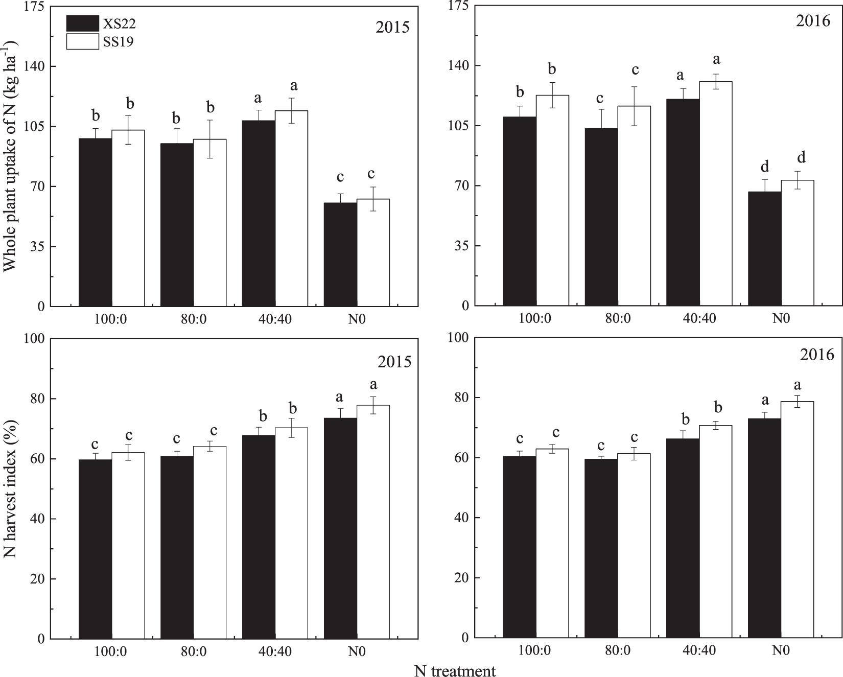
Figure 4

Response of sweetpotato plant N uptake and N harvest index of two cultivars (XS22 and SS19) to different N treatments. Different letters indicate statistical difference (P < 0.05) among the N treatments in each cultivar.

Response of sweetpotato plant N uptake and N harvest index of two cultivars (XS22 and SS19) to different N treatments. Different letters indicate statistical difference (P < 0.05) among the N treatments in each cultivar.