Figure 5

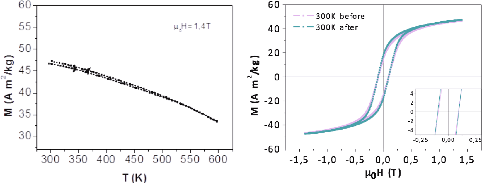
M(T) curves (left) recorded during a heating to 600 K and cooling to 300 K cycle of CFO-NOlarge ceramic. R.t. M(H) loops obtained on the sample before and after heating to 600 K under a 1.4 T magnetic field.

M(T) curves (left) recorded during a heating to 600 K and cooling to 300 K cycle of CFO-NOlarge ceramic. R.t. M(H) loops obtained on the sample before and after heating to 600 K under a 1.4 T magnetic field.